Free Access

Fig. 5

image

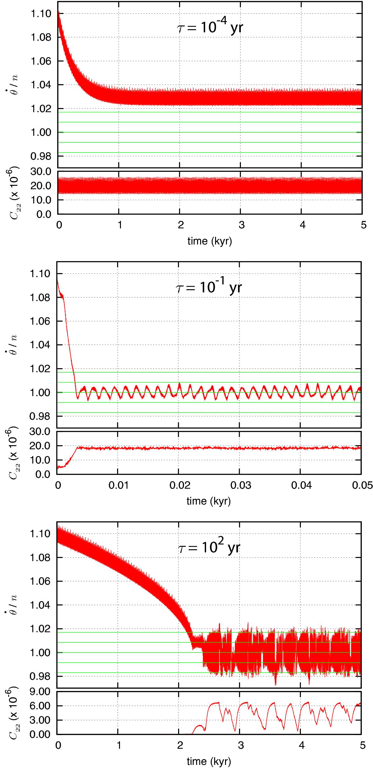
Examples of the spin evolution of Kepler-88b and corresponding global C22 value for different τ values. We use the initial conditions from Table 3, and the initial rotation period is set at 10 d. The green lines give the position of the spin-orbit resonances n, n ± ν/ 2, and n ± ν.

Current usage metrics show cumulative count of Article Views (full-text article views including HTML views, PDF and ePub downloads, according to the available data) and Abstracts Views on Vision4Press platform.

Data correspond to usage on the plateform after 2015. The current usage metrics is available 48-96 hours after online publication and is updated daily on week days.

Initial download of the metrics may take a while.