Fig. 18

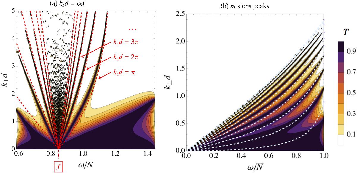
a) Same as Fig. 9c, overplotted with curves of equation kzd = nπ for n = { 1,...,6 }. A set of bands of perfect transmission departs from the frequency f = 2ΩcosΘ, corresponding with a resonance with short-wavelength inertial waves. b) The case of 10 steps without rotation, overplotted with the branches of the dispersion relation given by Eq. (101). Transmission is enhanced along those branches, corresponding to resonances with free modes of the staircase.
Current usage metrics show cumulative count of Article Views (full-text article views including HTML views, PDF and ePub downloads, according to the available data) and Abstracts Views on Vision4Press platform.
Data correspond to usage on the plateform after 2015. The current usage metrics is available 48-96 hours after online publication and is updated daily on week days.
Initial download of the metrics may take a while.