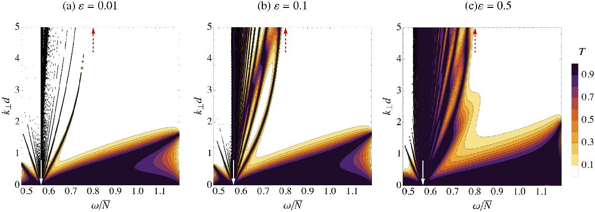
Fig. 22

Transmission coefficient for one step embedded in a convective medium with and Θ = π/ 4 for different aspect ratios a) ε = 0.01; b) ε = 0.1 and c) ε = 0.5. The white and dashed red arrows indicate frequency ω = f and ω = 2Ω, respectively. A vertical band of perfect transmission appears near the inertial frequency ω = f, this broadens with increasing ε.
Current usage metrics show cumulative count of Article Views (full-text article views including HTML views, PDF and ePub downloads, according to the available data) and Abstracts Views on Vision4Press platform.
Data correspond to usage on the plateform after 2015. The current usage metrics is available 48-96 hours after online publication and is updated daily on week days.
Initial download of the metrics may take a while.