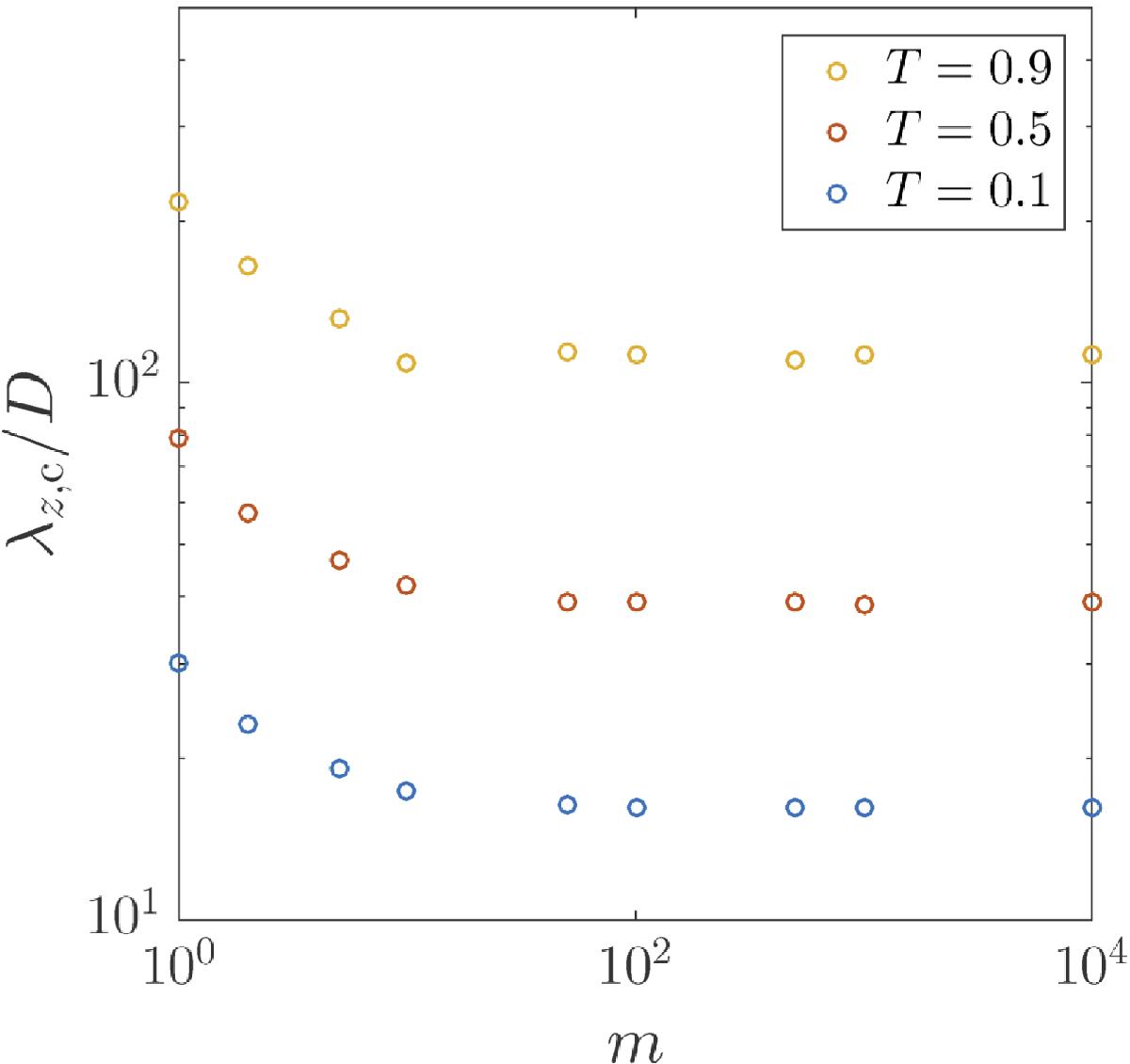
Fig. 24

Vertical cut-off wave-length λz,c normalised by the size of the staircase D = md, as a function of the number of steps m, measured for three criteria on the transmission: T = 0.9 (green), T = 0.5 (red), T = 0.1 (blue). These results were obtained in the case of a staircase embedded in a convective medium, with and at the particular frequency
which was not a resonant mode.
Current usage metrics show cumulative count of Article Views (full-text article views including HTML views, PDF and ePub downloads, according to the available data) and Abstracts Views on Vision4Press platform.
Data correspond to usage on the plateform after 2015. The current usage metrics is available 48-96 hours after online publication and is updated daily on week days.
Initial download of the metrics may take a while.