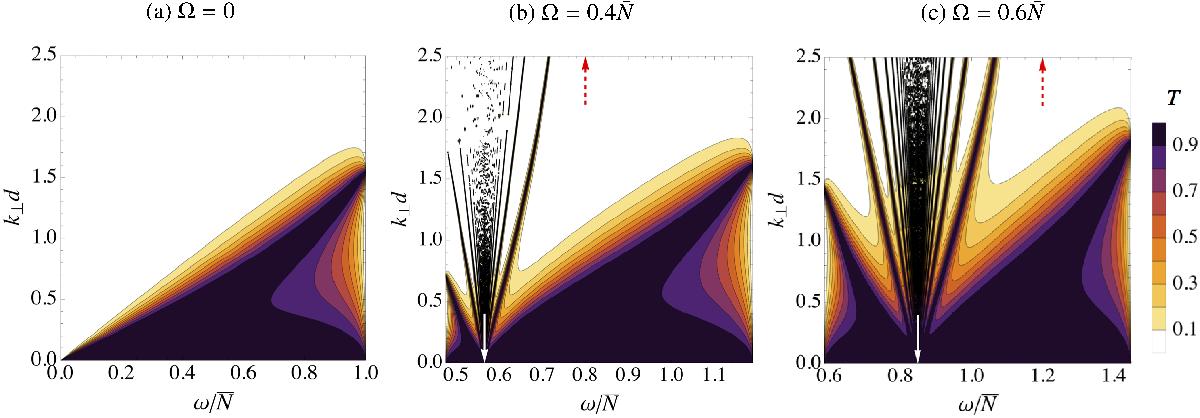
Fig. 9

Transmission coefficient for one step embedded in a stably stratified medium, in an inclined box with Θ = π/ 4, for different rotation frequencies a) Ω = 0; b) and c)
, as a function of frequency and perpendicular wave number. The white and dashed red arrows indicate frequencies ω = f and ω = 2Ω, respectively. A set of bands depart from f = 2ΩcosΘ (=
here) corresponding with a resonance with short-wavelength inertial waves. The transmission coefficients are calculated over a frequency range ω−<ω<ω+, calculated such that both the incident and transmitted wave are propagative.
Current usage metrics show cumulative count of Article Views (full-text article views including HTML views, PDF and ePub downloads, according to the available data) and Abstracts Views on Vision4Press platform.
Data correspond to usage on the plateform after 2015. The current usage metrics is available 48-96 hours after online publication and is updated daily on week days.
Initial download of the metrics may take a while.