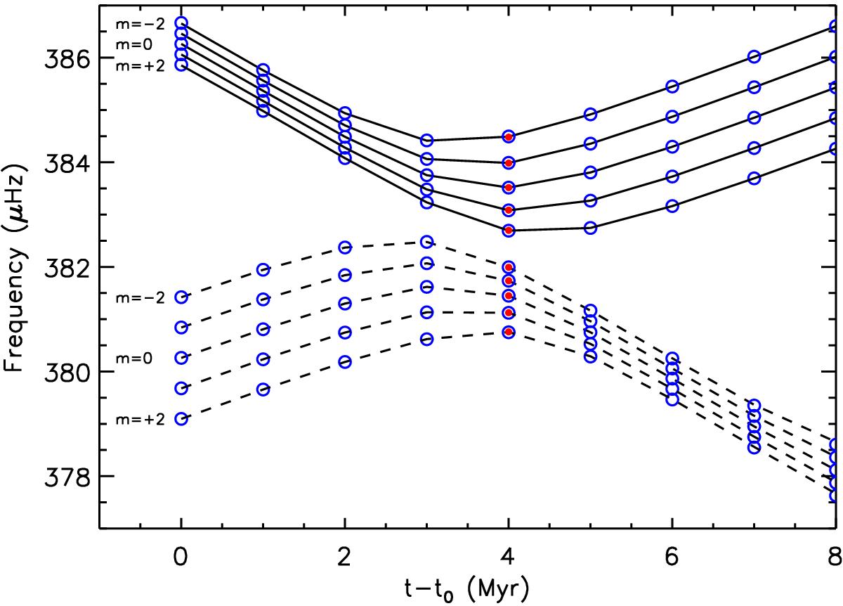
Fig. 2

Variations in the frequencies of two l = 2 rotational multiplets during an avoided crossing. The sequence of models B0 through B8 was used, assuming the rotation profile given by Eq. (15) with a core-envelope contrast of five. The frequencies of rotational multiplets were computed using the first-order pertubative approach including near-degeneracy effects (open blue circles), and using the non-perturbative oscillation code acor (solid and dashed black curves). The filled red circles correspond to the frequencies obtained with the approximate Eq. (24) for model B4.
Current usage metrics show cumulative count of Article Views (full-text article views including HTML views, PDF and ePub downloads, according to the available data) and Abstracts Views on Vision4Press platform.
Data correspond to usage on the plateform after 2015. The current usage metrics is available 48-96 hours after online publication and is updated daily on week days.
Initial download of the metrics may take a while.