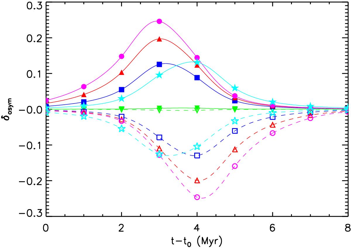
Fig. 5

Degree of asymmetry δasym of the two l = 2 multiplets during the avoided crossing. Different rotation profiles were considered, with core-envelope contrasts (Ωc/ Ωe) of 20 (purple circles), 10 (red triangle), 5 (blue squares), 1 (green downward-triangle), and 0.5 (cyan stars). The higher-frequency multiplet is represented by filled symbols and the lower-frequency multiplet by empty symbols. To guide the eye, we overplotted cubic spline interpolations δasym(t−t0) for each rotation profile — solid (resp. dashed) lines for higher-frequency (resp. lower-frequency) multiplet.
Current usage metrics show cumulative count of Article Views (full-text article views including HTML views, PDF and ePub downloads, according to the available data) and Abstracts Views on Vision4Press platform.
Data correspond to usage on the plateform after 2015. The current usage metrics is available 48-96 hours after online publication and is updated daily on week days.
Initial download of the metrics may take a while.