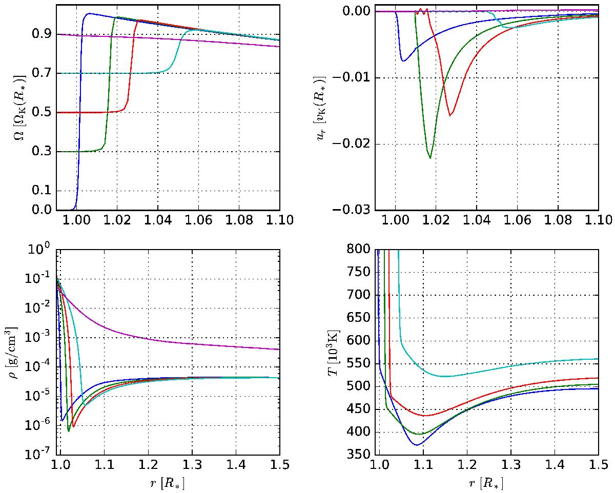
Fig. 6

Angular velocity Ω and radial velocity ur (both in dimensionless units) and density ρ and temperature T in cgs units. All variables show the radial dependency in the equatorial plane. The different colors denote the different stellar rotation rates of 0,0.3,0.5,0.7 and 0.9 times the Keplerian angular velocity at the stellar surface. The snapshots are taken after 688, 251, 248, 263 and 253 orbits. The blue lines correspond to the reference model.
Current usage metrics show cumulative count of Article Views (full-text article views including HTML views, PDF and ePub downloads, according to the available data) and Abstracts Views on Vision4Press platform.
Data correspond to usage on the plateform after 2015. The current usage metrics is available 48-96 hours after online publication and is updated daily on week days.
Initial download of the metrics may take a while.