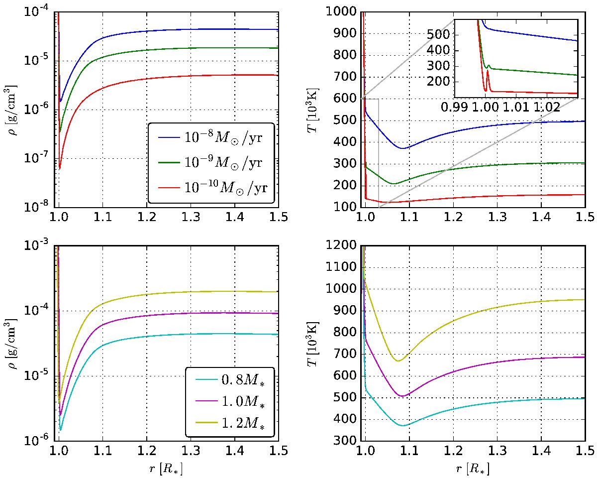
Fig. 7

Density and temperature in the equatorial plane as a function of radius. In the upper two panels the variables are displayed for three different mass-accretion rates. The plot of the temperature has an additional zoom box to make the thin peaks in the BL more visible. Lower two panels: ρ and T for three different stellar masses.
Current usage metrics show cumulative count of Article Views (full-text article views including HTML views, PDF and ePub downloads, according to the available data) and Abstracts Views on Vision4Press platform.
Data correspond to usage on the plateform after 2015. The current usage metrics is available 48-96 hours after online publication and is updated daily on week days.
Initial download of the metrics may take a while.