Free Access
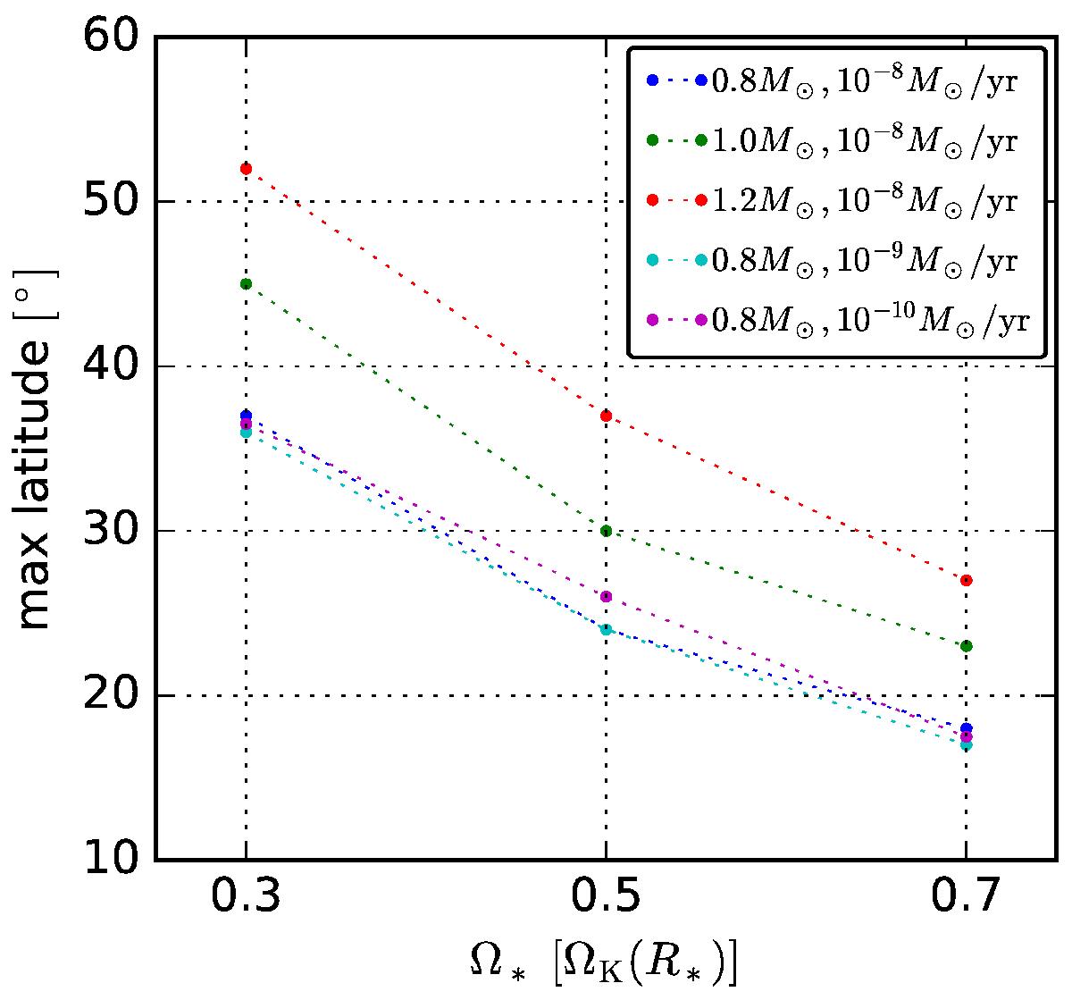
Fig. 9

Maximum latitude reached by the disk material on its way to the pole as a function of the stellar-rotation rate. The different curves correspond to different choices of stellar mass and mass-accretion rate (see legend). The maximum latitude angle is measured towards the equatorial plane and is given in degrees.
Current usage metrics show cumulative count of Article Views (full-text article views including HTML views, PDF and ePub downloads, according to the available data) and Abstracts Views on Vision4Press platform.
Data correspond to usage on the plateform after 2015. The current usage metrics is available 48-96 hours after online publication and is updated daily on week days.
Initial download of the metrics may take a while.