Open Access

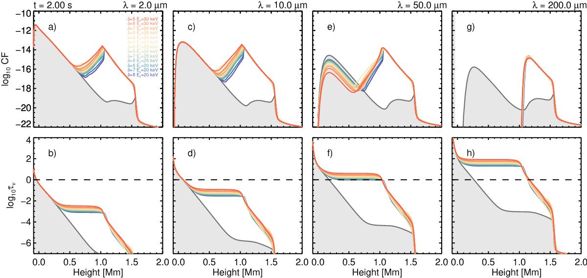
Fig. 2

image

Atmospheric snapshots at peak energy deposition (CF and optical depth) for 2, 10, 50 and 200 μm. The dashed line shows optical depth unity, which falls in the chromosphere at wavelengths longer than about 50 μm.

Current usage metrics show cumulative count of Article Views (full-text article views including HTML views, PDF and ePub downloads, according to the available data) and Abstracts Views on Vision4Press platform.

Data correspond to usage on the plateform after 2015. The current usage metrics is available 48-96 hours after online publication and is updated daily on week days.

Initial download of the metrics may take a while.