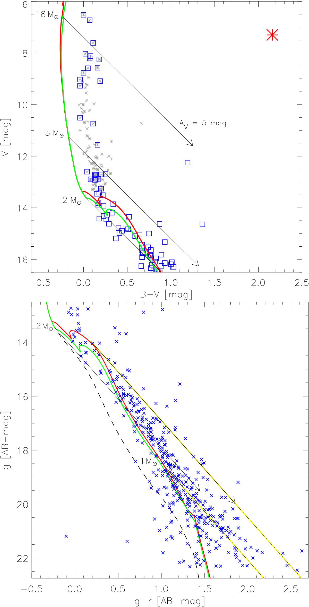
Fig. 9

Top: optical color magnitude diagram of the X-ray detected objects in NGC 3293 based on the optical photometry from Baume et al. (2003), complemented by values from Dufton et al. (2006) for the B-type stars. The gray asterisks mark stars with known spectral type in the ACIS-I field. The X-ray sources are marked by blue squares. The solid lines in red and green show isochrones for stellar ages of 8 Myr and 10 Myr based on the PARSEC stellar models. The arrows indicate reddening vectors for AV = 5 mag starting at the location of 10 Myr old stars with masses of 18 M⊙, 5 M⊙, and 2 M⊙. The large red star marks the M1.5Iab supergiant V361 Car. Bottom: optical color magnitude diagram of the X-ray detected stars in NGC 3293 based on photometry from the VST VPHAS-DR2 survey data (blue crosses). The solid lines in red and green show isochrones for stellar ages of 8 Myr and 10 Myr based on the PARSEC stellar models, and the black dashed line indicates the main sequence. The arrows show reddening vectors for AV = 5 mag starting at the location of 10 Myr old stars with masses of 2 M⊙ and 1 M⊙. The yellow-and-black dot-dashed lines show the upper and lower limits for the ranges that were used to count the number of stars in the [1–2] M⊙ interval.
Current usage metrics show cumulative count of Article Views (full-text article views including HTML views, PDF and ePub downloads, according to the available data) and Abstracts Views on Vision4Press platform.
Data correspond to usage on the plateform after 2015. The current usage metrics is available 48-96 hours after online publication and is updated daily on week days.
Initial download of the metrics may take a while.