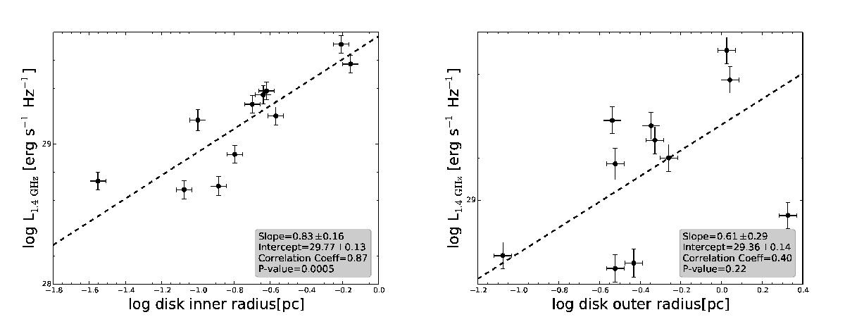
Fig. 9

Maser disk inner (left) and outer radius (right) versus 1.4 GHz continuum luminosity. The inner and outer radii are taken from from Kuo et al. (2011), Braatz et al. (2015), and Gao et al. (2017). The black dashed lines are linear fits to the data. The slope and intercept of the fit, as well as the correlation coefficient and the P-value of the Spearman test (see also Fig. 5) are shown in a corner of each plot.
Current usage metrics show cumulative count of Article Views (full-text article views including HTML views, PDF and ePub downloads, according to the available data) and Abstracts Views on Vision4Press platform.
Data correspond to usage on the plateform after 2015. The current usage metrics is available 48-96 hours after online publication and is updated daily on week days.
Initial download of the metrics may take a while.