Free Access
Fig. 9

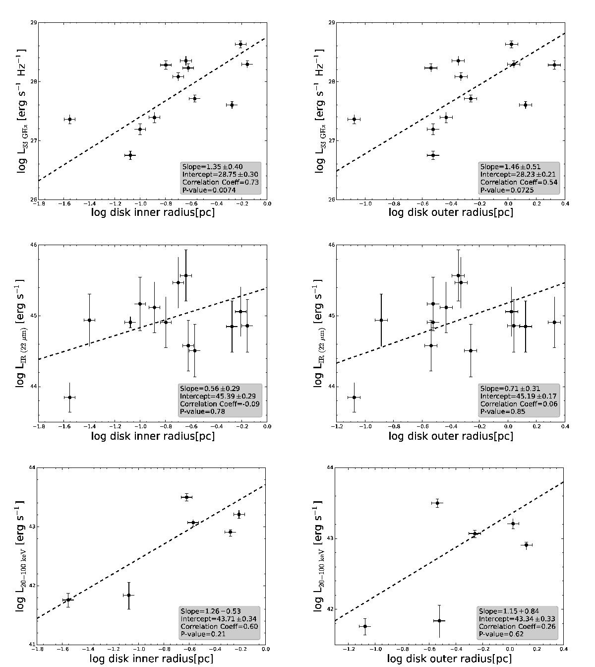
continued. Maser disk inner (top left) and outer radius (top right) versus 33 GHz continuum luminosity. Maser disk inner (middle left) and outer radius (middle right) versus IR luminosity, deduced from WISE 22 μm data. Maser disk inner (bottom left) and outer radius (bottom right) versus hard X-ray luminosity.
This figure is made of several images, please see below:
Current usage metrics show cumulative count of Article Views (full-text article views including HTML views, PDF and ePub downloads, according to the available data) and Abstracts Views on Vision4Press platform.
Data correspond to usage on the plateform after 2015. The current usage metrics is available 48-96 hours after online publication and is updated daily on week days.
Initial download of the metrics may take a while.