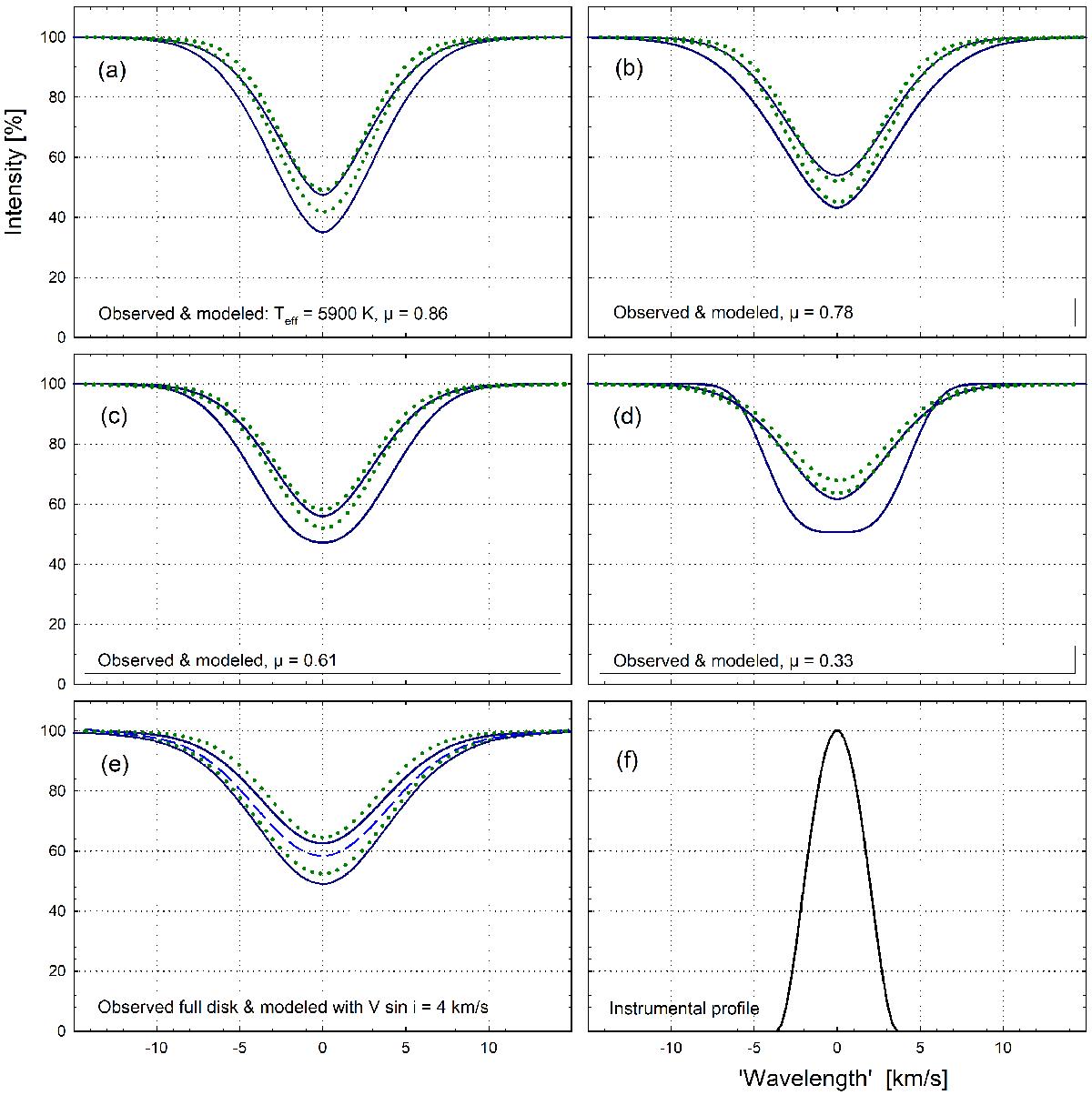
Fig. 16

Observed and modeled line profiles for spatially resolved positions across the disk of HD 209458. a) Observed profiles for stronger and weaker Fe I lines at average disk position μ = 0.86 (solid blue), compared to synthetic profiles (λ = 620 nm, χ = 3 eV) for differently strong lines at the same μ from a model of Teff = 5900 K (dotted green). Same types of data in b) for μ = 0.78, c) for μ = 0.61, and d) for μ = 0.33 are shown. Synthetic full-disk profiles are shown in e), broadened for stellar rotation of 4 km s-1, for the Teff = 5900 K model (dotted green) and for 6250 K (dashed blue). A comparison to observed profiles outside transit (solid) confirms a stellar rotational velocity around such a value. All synthetic lines are here convolved with the spectrometer instrumental profile in f of FWHM = 4.0 km s-1.
Current usage metrics show cumulative count of Article Views (full-text article views including HTML views, PDF and ePub downloads, according to the available data) and Abstracts Views on Vision4Press platform.
Data correspond to usage on the plateform after 2015. The current usage metrics is available 48-96 hours after online publication and is updated daily on week days.
Initial download of the metrics may take a while.