Free Access

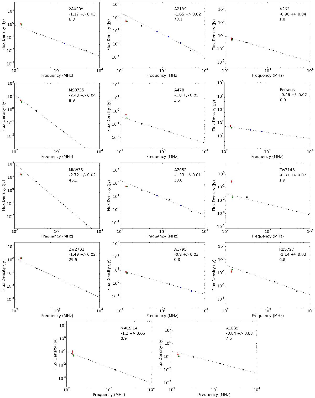
Fig. A.1

image

SED power law fits for the source in the MF-14 sample. The MSSS (red) and TGSS (green) points come from our measurements. The VLA (black) points are from Bîrzan et al. (2008). The higher frequency literature points are presented in blue. The dashed line shows the best fit power law. The MSSS points are not taken into account for the fit. The value at the top right corner of each plot indicates the derived spectral index with its error and the reduced chi-squared of the fit.

This figure is made of several images, please see below:

Current usage metrics show cumulative count of Article Views (full-text article views including HTML views, PDF and ePub downloads, according to the available data) and Abstracts Views on Vision4Press platform.

Data correspond to usage on the plateform after 2015. The current usage metrics is available 48-96 hours after online publication and is updated daily on week days.

Initial download of the metrics may take a while.