Free Access
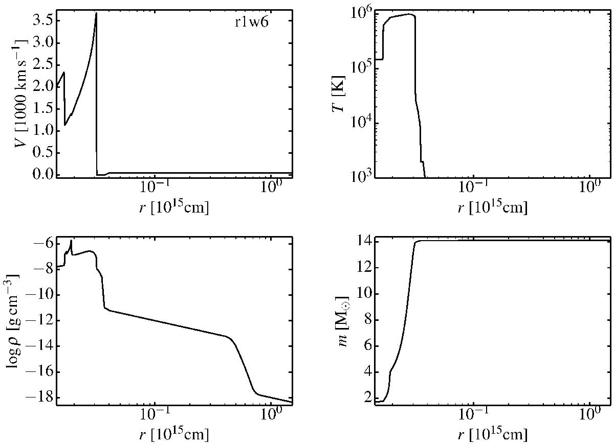
Fig. 2

Initial structure used in heracles for model r1w6. The time is a few hours before shock breakout; the prior evolution of the shock through the stellar interior was computed with v1d (Dessart et al. 2013).
Current usage metrics show cumulative count of Article Views (full-text article views including HTML views, PDF and ePub downloads, according to the available data) and Abstracts Views on Vision4Press platform.
Data correspond to usage on the plateform after 2015. The current usage metrics is available 48-96 hours after online publication and is updated daily on week days.
Initial download of the metrics may take a while.