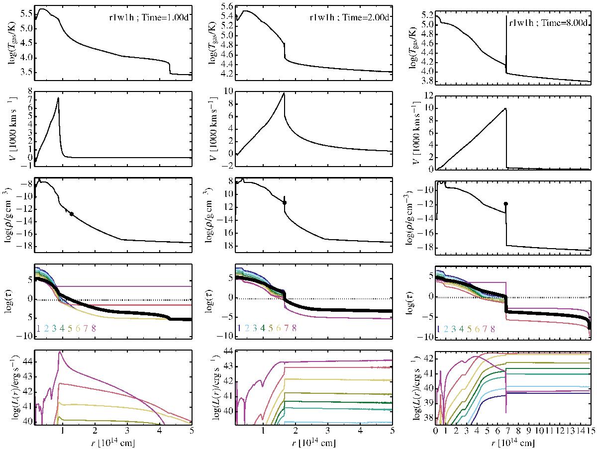
Fig. 5

Ejecta properties computed by heracles for model r1w1h (model with a weak wind but an extended atmospheric scale height) at 1, 2, and 8 d after the start of the heracles simulation. Compared to model r1w6, the shock is not as strongly decelerated by the atmosphere (which has a steep density profile) and the photosphere remains close to the fast-moving ejecta, inhibiting the formation of a long-lived shock breakout signal.
Current usage metrics show cumulative count of Article Views (full-text article views including HTML views, PDF and ePub downloads, according to the available data) and Abstracts Views on Vision4Press platform.
Data correspond to usage on the plateform after 2015. The current usage metrics is available 48-96 hours after online publication and is updated daily on week days.
Initial download of the metrics may take a while.