Free Access

Fig. 8

image

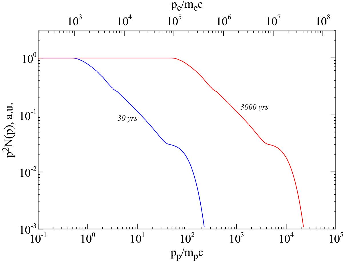
Particle spectra at 30 and 3000 yr calculated with Eq. (3) and the dependence Qt(t) shown in Fig. 3. Bottom axis is for protons and the upper one is for electrons, under the condition that both populations have the same maximum momentum (parameters used are listed in the caption to Fig. 9).

Current usage metrics show cumulative count of Article Views (full-text article views including HTML views, PDF and ePub downloads, according to the available data) and Abstracts Views on Vision4Press platform.

Data correspond to usage on the plateform after 2015. The current usage metrics is available 48-96 hours after online publication and is updated daily on week days.

Initial download of the metrics may take a while.