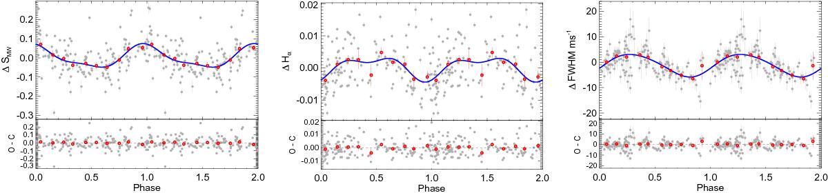
Fig. 10

Phase-folded curve for the SMW index time series using the 74-day period, for the detrended Hα index time series using the 85-day period, and for the FWHM time series using the 82-day period. The grey dots are the individual measurements after subtracting the long-term variations. The red dots are the same points binned in phase with a bin size of 0.1. The error bar of a given bin is estimated using the weighted standard deviation of binned measurements divided by the square root of the number of measurements included in this bin. The blue solid line shows the best fit to the data using a double harmonic sinusoidal fit.
Current usage metrics show cumulative count of Article Views (full-text article views including HTML views, PDF and ePub downloads, according to the available data) and Abstracts Views on Vision4Press platform.
Data correspond to usage on the plateform after 2015. The current usage metrics is available 48-96 hours after online publication and is updated daily on week days.
Initial download of the metrics may take a while.