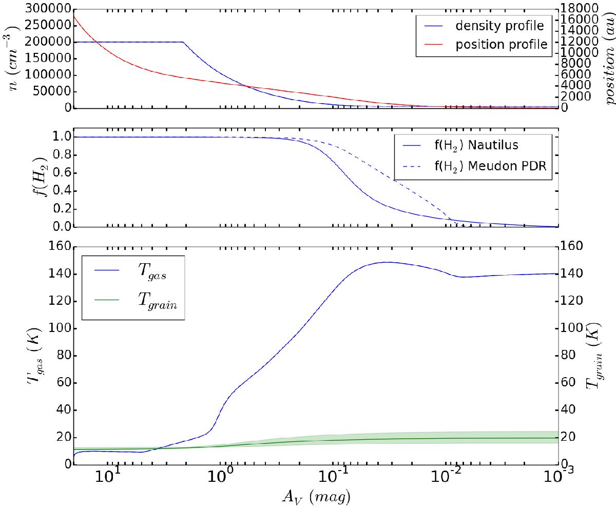
Fig. 1

Physical structure of the Horsehead nebula with the density fixed for the dense part of the PDR. All panels are represented as functions of the visual extinction, AV. The first panel shows the density and position profiles, while the second panel represents the molecular hydrogen fraction f(H2) computed by both codes, with the solid line indicating the Nautilus code and the dashed line the Meudon PDR code. The third panel represents the grain- and gas-temperature profiles. The green area covers the range of dust temperature given by the Meudon PDR code for different grain size values in the range 0.03 to 0.3 μm.
Current usage metrics show cumulative count of Article Views (full-text article views including HTML views, PDF and ePub downloads, according to the available data) and Abstracts Views on Vision4Press platform.
Data correspond to usage on the plateform after 2015. The current usage metrics is available 48-96 hours after online publication and is updated daily on week days.
Initial download of the metrics may take a while.