Free Access
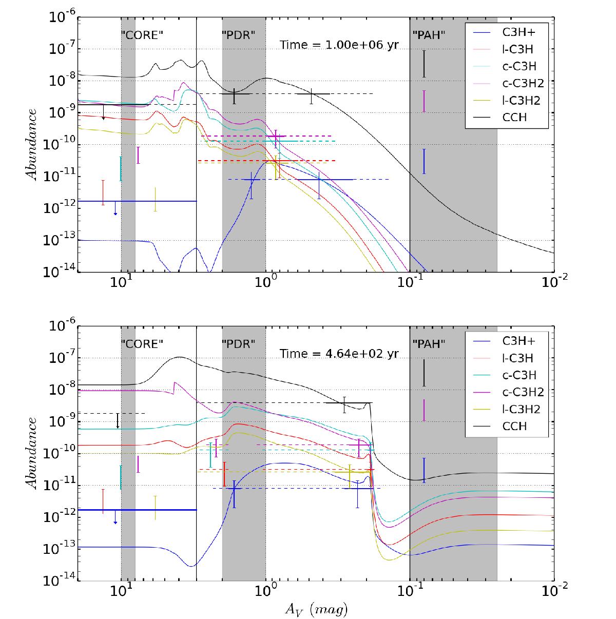
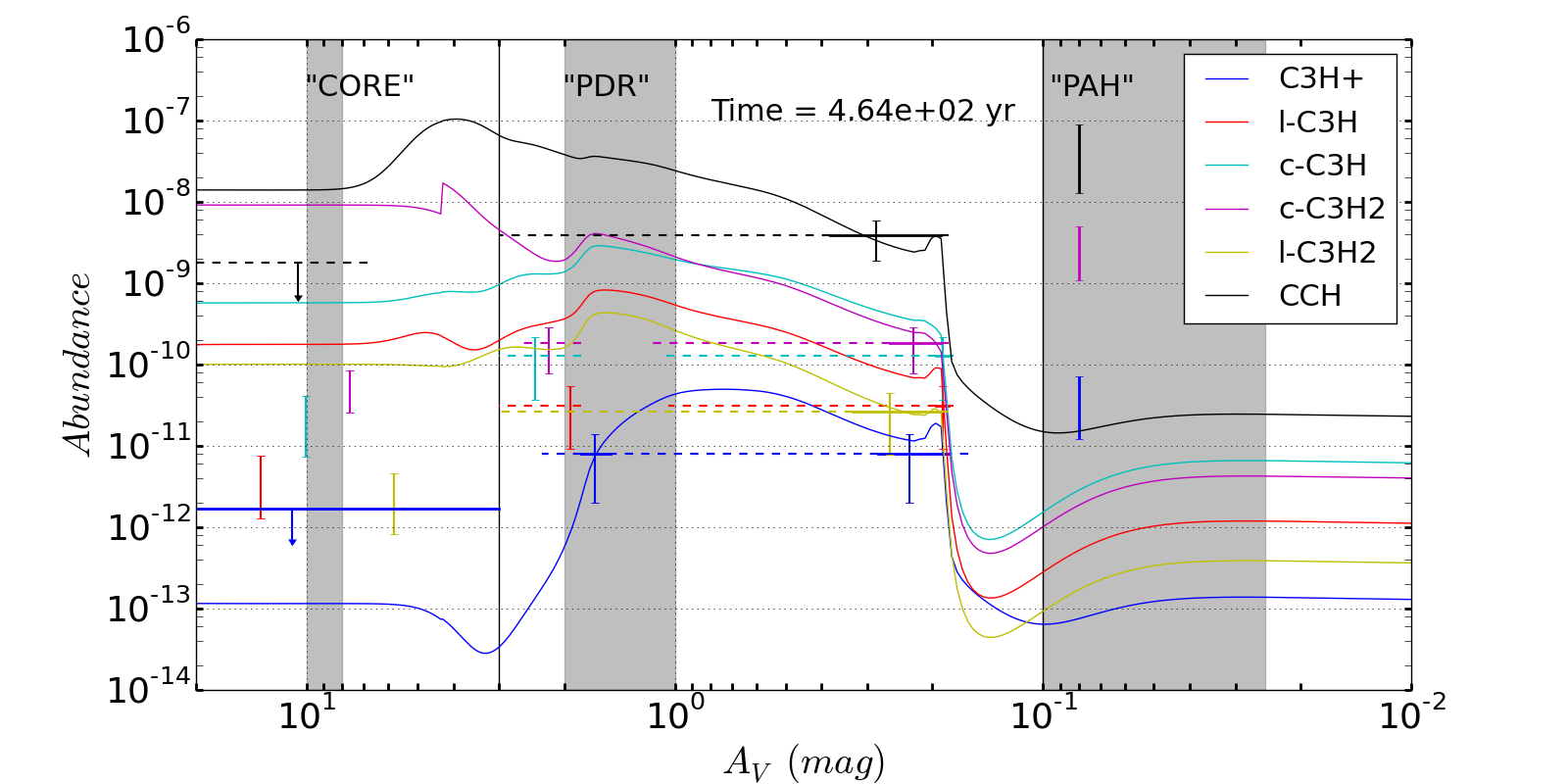
Fig. 4

Same as Figs. 2 and 3 except that the small hydrocarbon abundances are plotted, the early time value is two orders of magnitude lower, the PAH region is included, and the error bars in the observations are from the interferometric study of Guzman et al. (2015).
This figure is made of several images, please see below:
Current usage metrics show cumulative count of Article Views (full-text article views including HTML views, PDF and ePub downloads, according to the available data) and Abstracts Views on Vision4Press platform.
Data correspond to usage on the plateform after 2015. The current usage metrics is available 48-96 hours after online publication and is updated daily on week days.
Initial download of the metrics may take a while.