Free Access
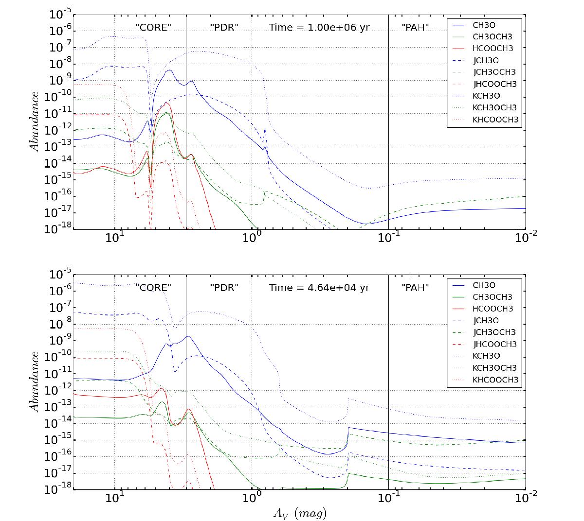
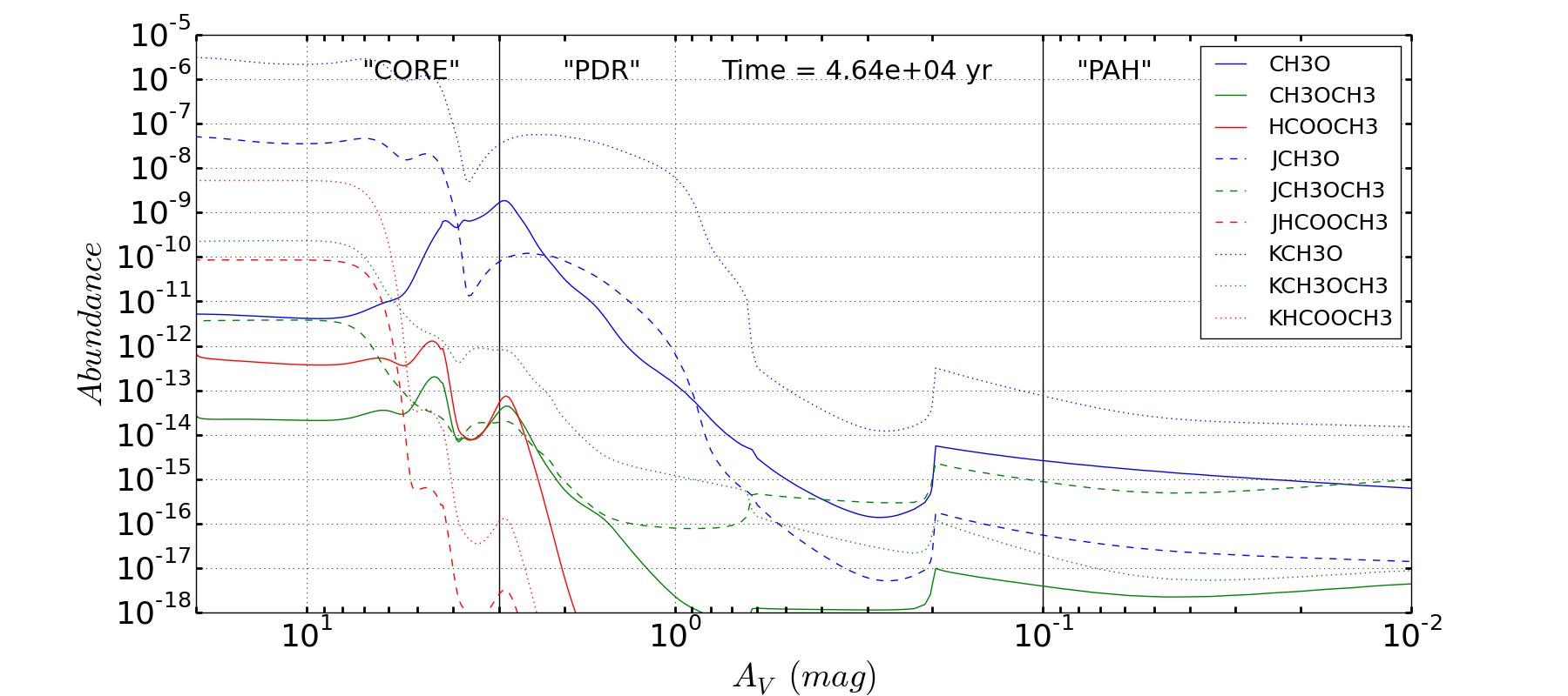
Fig. 6

Same as Figs. 2–5 but here representing the predicted gas-phase and ice abundances in the Horsehead nebula for CH3O, CH3OCH3 and HCOOCH3, at the same typical early and late times 4.64 × 104 yr and 1 × 106 yr. The “Jspecies” designate the mantle-surface molecules and the “Kspecies” the bulk-mantle molecules.
This figure is made of several images, please see below:
Current usage metrics show cumulative count of Article Views (full-text article views including HTML views, PDF and ePub downloads, according to the available data) and Abstracts Views on Vision4Press platform.
Data correspond to usage on the plateform after 2015. The current usage metrics is available 48-96 hours after online publication and is updated daily on week days.
Initial download of the metrics may take a while.