Free Access

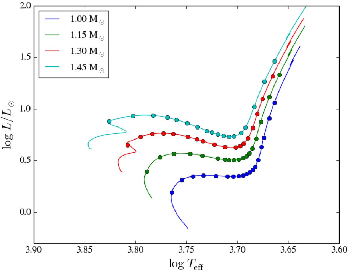
Fig. 1

image

Location in the Hertzsprung-Russel diagram of the stellar models considered in this work (filled circles, see Sect. 3.1 for details). The evolutionary tracks from the zero-age main sequence to the top of the red giant branch are represented by the solid lines.

Current usage metrics show cumulative count of Article Views (full-text article views including HTML views, PDF and ePub downloads, according to the available data) and Abstracts Views on Vision4Press platform.

Data correspond to usage on the plateform after 2015. The current usage metrics is available 48-96 hours after online publication and is updated daily on week days.

Initial download of the metrics may take a while.