Free Access

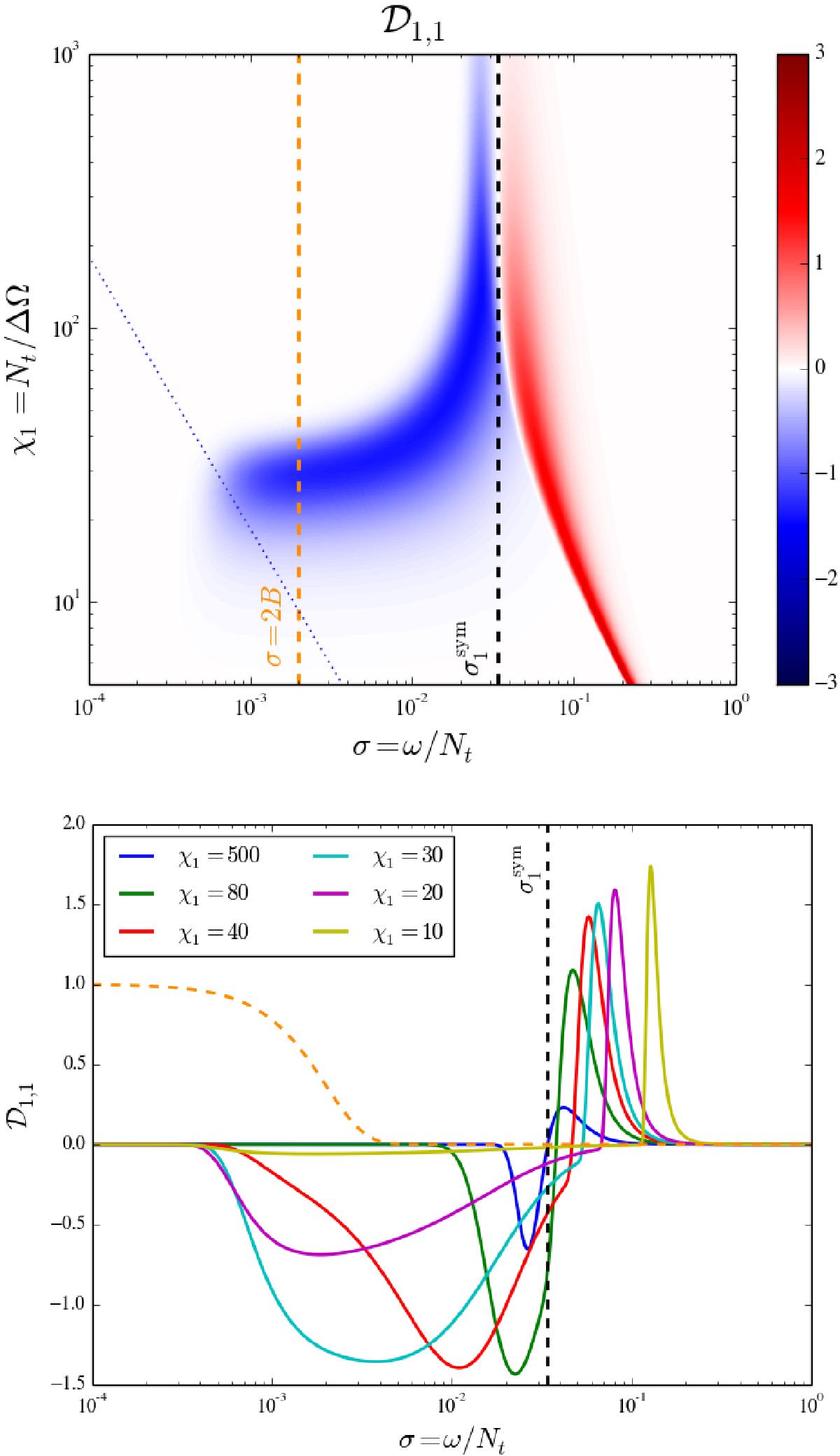
Fig. B.2

image

Top: dimensionless damping term defined in Eq. (B.16)with l = | m | = 1, as a function of σ and χ1. It is plotted for the subgiant model parameters given in Table A.1 at a radius r/rt = 0.05, i.e., near the hydrogen-burning shell. The vertical orange dashed line corresponds to σ = 2B as given in Eq. (B.15). The vertical dark dashed line indicates the frequency at the separation between the retrograde and prograde parts of the damping term, , which was estimated using Eq. (B.25). The dotted line represents the retrograde transition frequency as defined in Eq. (B.21). Bottom: cut sections for different values of χ1. The orange dashed line represents the Gaussian wave frequency spectrum defined in Eq. (B.15). The vertical dark dashed line has the same signification as in the top panel.

Current usage metrics show cumulative count of Article Views (full-text article views including HTML views, PDF and ePub downloads, according to the available data) and Abstracts Views on Vision4Press platform.

Data correspond to usage on the plateform after 2015. The current usage metrics is available 48-96 hours after online publication and is updated daily on week days.

Initial download of the metrics may take a while.