Free Access

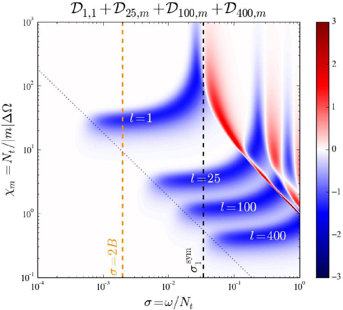
Fig. 3

image

Sum of the dimensionless damping terms defined by Eq. (B.16)over l = 1,25,100 and 400, as a function of χ| m | and σ = ω/Nt. The legend is the same as in the top panel of Fig. B.2. The dotted line represents as defined in Eq. (B.37). The angular degree associated with each pattern is indicated.

Current usage metrics show cumulative count of Article Views (full-text article views including HTML views, PDF and ePub downloads, according to the available data) and Abstracts Views on Vision4Press platform.

Data correspond to usage on the plateform after 2015. The current usage metrics is available 48-96 hours after online publication and is updated daily on week days.

Initial download of the metrics may take a while.