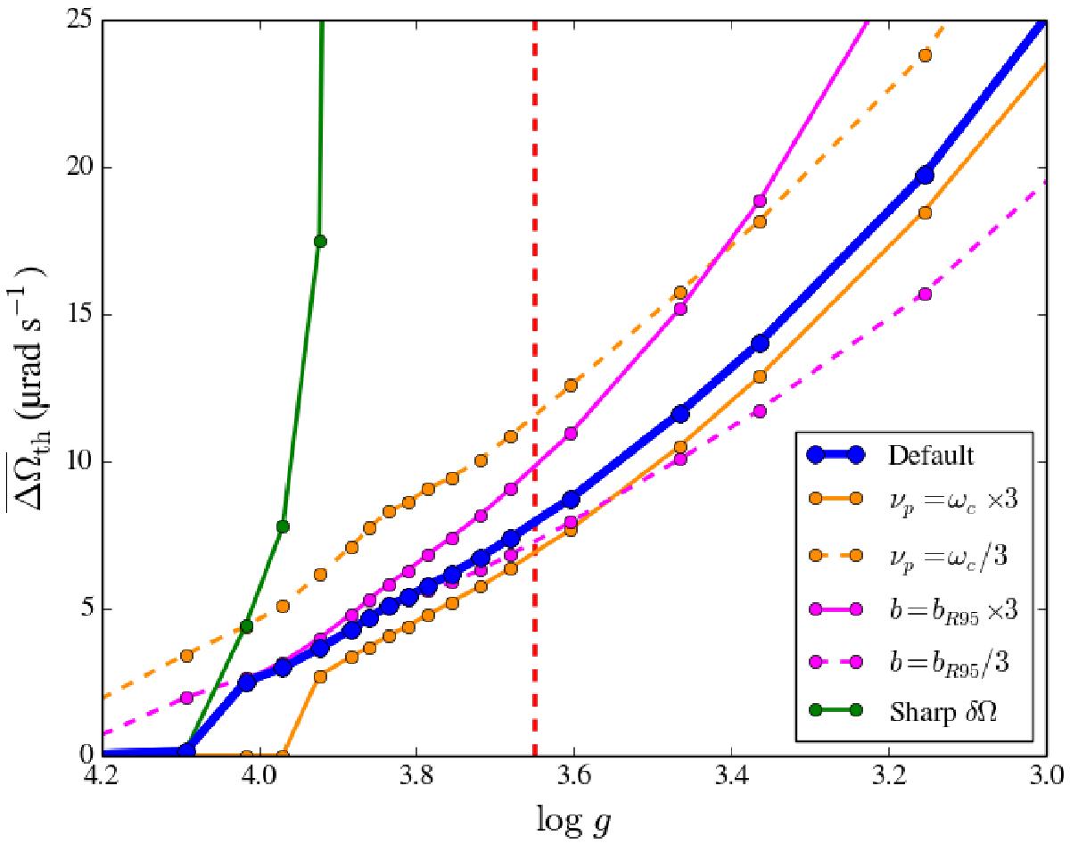
Fig. 4

Theoretical threshold value for the differential rotation amplitude, above which tw<tcont throughout the region below the hydrogen-burning shell, as a function of log g. The curve obtained with the default set of plume parameters, νp = ωc and b = bR95 (see Sect. 3.2), and a smooth rotation profile is represented by the blue thick solid line. The effect of variations in νp and b is also displayed, as well as the results obtained with a sharp rotation profile. For each curve, the value of only one single parameter is changed while keeping the others at their default values. The vertical red dashed line symbolizes the transition between the subgiant phase to the beginning of the RGB.
Current usage metrics show cumulative count of Article Views (full-text article views including HTML views, PDF and ePub downloads, according to the available data) and Abstracts Views on Vision4Press platform.
Data correspond to usage on the plateform after 2015. The current usage metrics is available 48-96 hours after online publication and is updated daily on week days.
Initial download of the metrics may take a while.