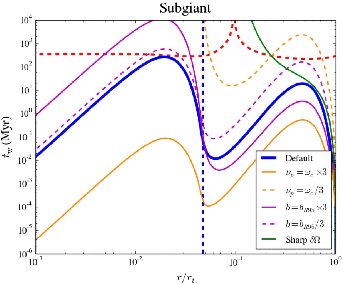
Fig. 5

Effect of variations in the plume parameters and of a sharp rotation profile as given in Eq. (13)on the wave-related timescale in the radiative zone of the subgiant model considered in Sect. 4.1.2. For each curve, the value of only one single parameter is changed while keeping the others at their default values. The value of the differential rotation amplitude is maintained constant at . The red and the blue dashed lines have the same meaning as in Fig. 3.
Current usage metrics show cumulative count of Article Views (full-text article views including HTML views, PDF and ePub downloads, according to the available data) and Abstracts Views on Vision4Press platform.
Data correspond to usage on the plateform after 2015. The current usage metrics is available 48-96 hours after online publication and is updated daily on week days.
Initial download of the metrics may take a while.