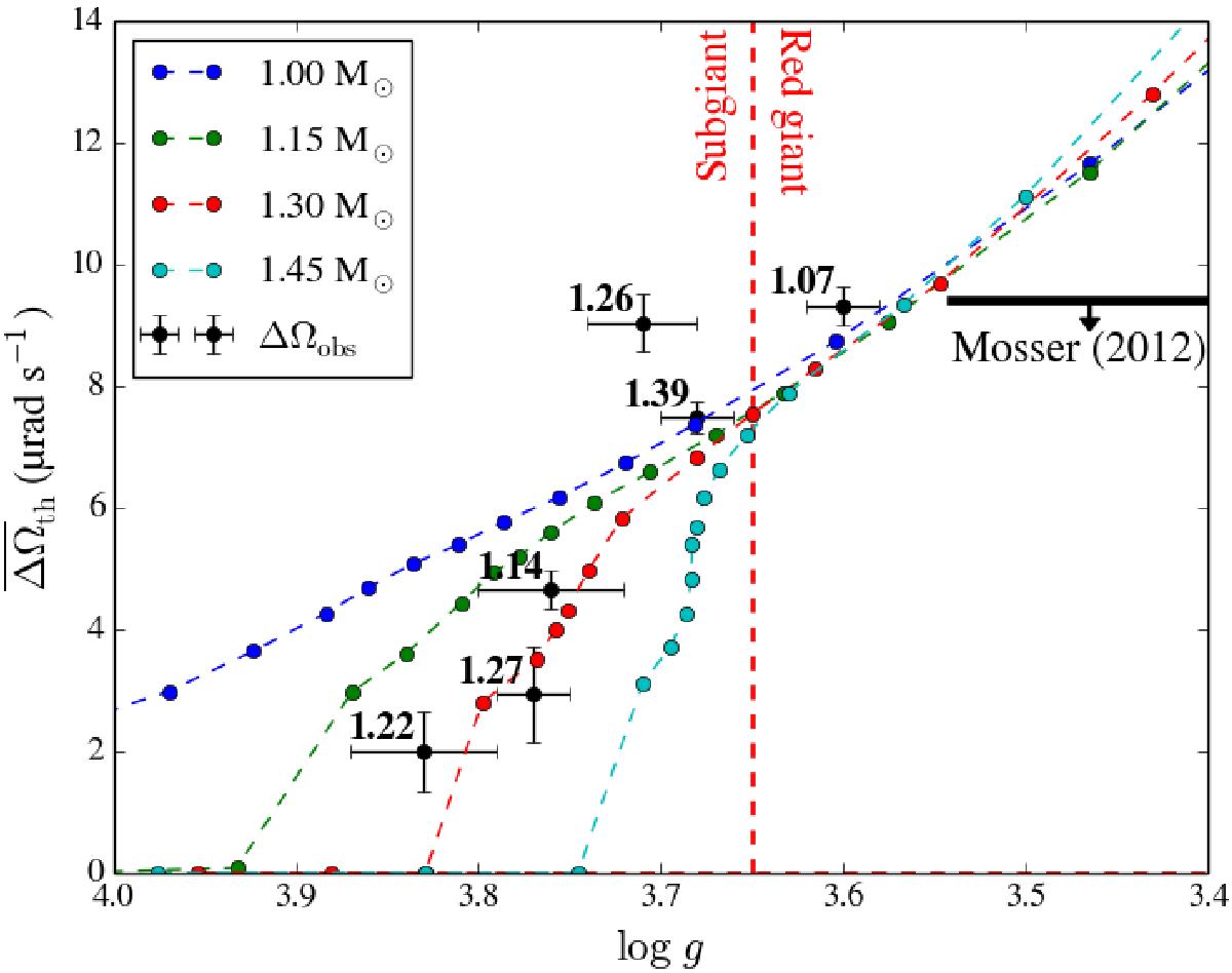
Fig. 6

Theoretical threshold for the amplitude of the radial-differential rotation as a function of the log g for the considered evolutionary sequences. It is computed using the default values of the parameters given in Sect. 3.2 and assuming a smooth rotation profile as defined in Eq. (12). The observations in subgiant stars, ΔΩobs, are represented with error bars and masses in units of solar mass (Deheuvels et al. 2014, see Table 1). The vertical red dashed line symbolizes the transition between the subgiant phase to the beginning of the RGB. The maximum amplitude of the differential amplitude on the RGB as expected from the observations by Mosser et al. (2012a) is indicated by the horizontal thick black line.
Current usage metrics show cumulative count of Article Views (full-text article views including HTML views, PDF and ePub downloads, according to the available data) and Abstracts Views on Vision4Press platform.
Data correspond to usage on the plateform after 2015. The current usage metrics is available 48-96 hours after online publication and is updated daily on week days.
Initial download of the metrics may take a while.