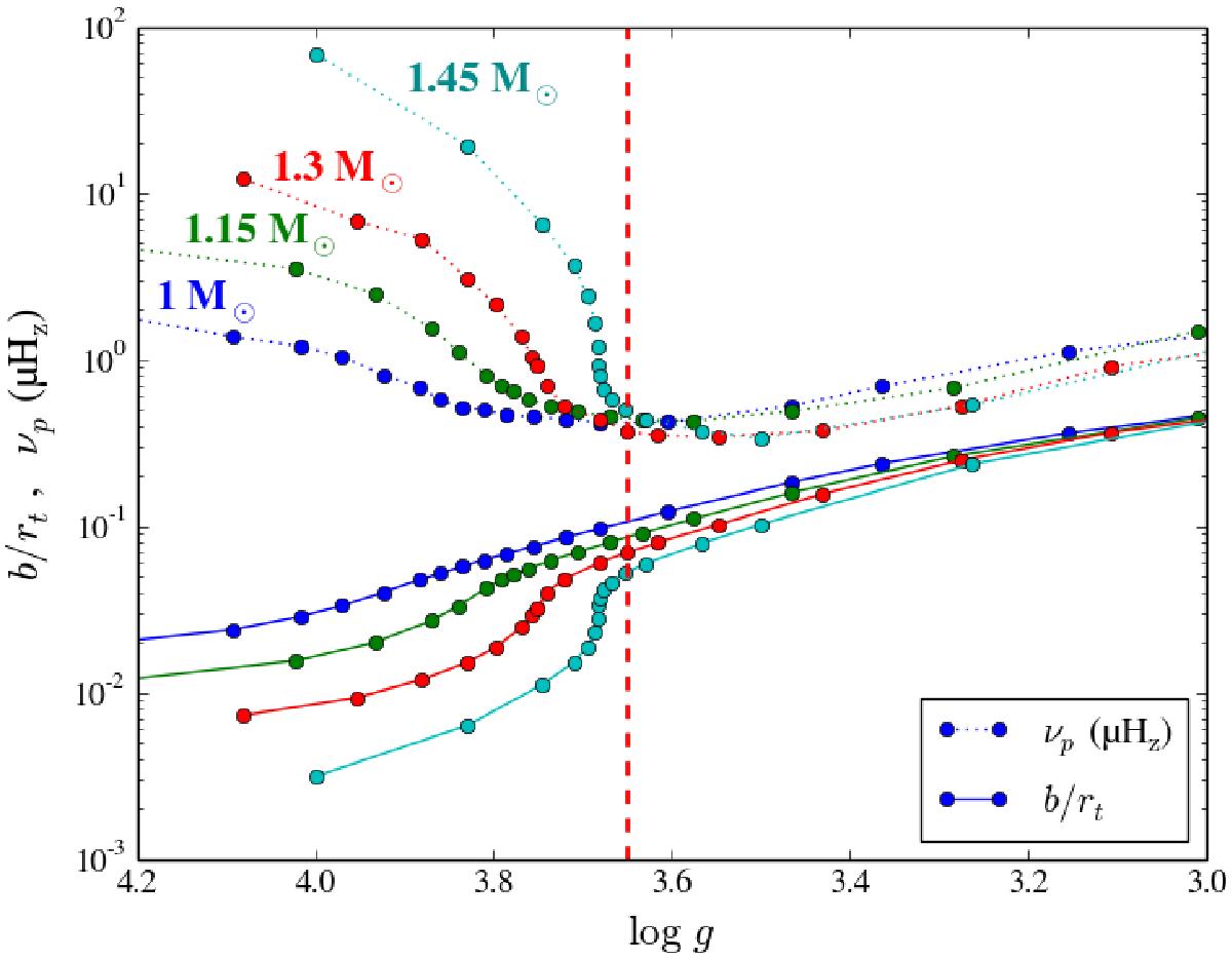
Fig. 7

Occurrence frequency (dotted lines) and width of the convective plumes normalized by the radius at the top of the radiative zone (solid lines), estimated at the base of the convective zone and plotted as a function of log g. The plume occurrence frequency, νp, is assumed to be equal to the convective turnover frequency, ωc, which was estimated via the mixing-length theory. Each color is associated with a mass.
Current usage metrics show cumulative count of Article Views (full-text article views including HTML views, PDF and ePub downloads, according to the available data) and Abstracts Views on Vision4Press platform.
Data correspond to usage on the plateform after 2015. The current usage metrics is available 48-96 hours after online publication and is updated daily on week days.
Initial download of the metrics may take a while.