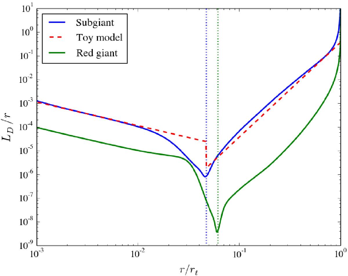
Fig. A.1

Ratio of the characteristic radial damping lengthscale of the wave energy as given in Eq. (A.1)to the radius for both 1 M⊙ models considered in Sect. 4.1. It is plotted as a function of the radius normalized by its value at the top of the radiative zone, rt, for a degree l = 1 and an intrinsic wave frequency rad s-1. The vertical dotted lines localizes the hydrogen-burning shell in both models. The profile assumed in Appendix A.2 is represented by the red dashed line for the subgiant model.
Current usage metrics show cumulative count of Article Views (full-text article views including HTML views, PDF and ePub downloads, according to the available data) and Abstracts Views on Vision4Press platform.
Data correspond to usage on the plateform after 2015. The current usage metrics is available 48-96 hours after online publication and is updated daily on week days.
Initial download of the metrics may take a while.