Free Access

Fig. 12

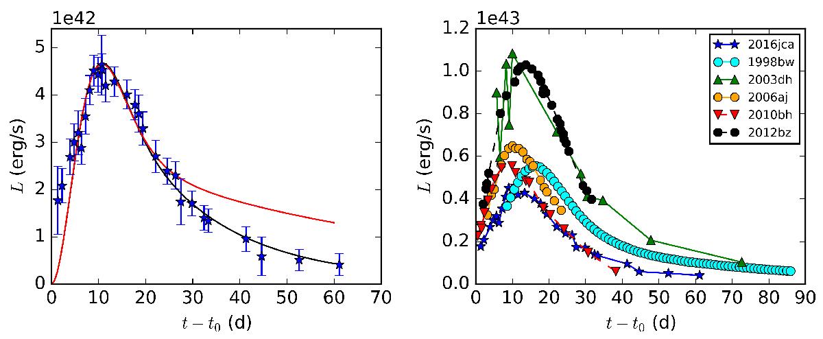
image

Radioactive heating model (Arnett 1982) fit to the bolometric (griz) LC of SN 2016jca. Left: two versions of the model have been fit to the data, one that assumes full trapping of γ-rays (red), and one which allows γ-ray leakage (black). It is seen that the latter model better fits the data. Both models require a nickel mass of MNi = 0.22M, an ejecta mass of Mej = 5.8M, and for a peak photospheric velocity of vph = 29 700 ± 1500 km s-1, a kinetic energy of EK = 5.1 ± 0.8 × 1052 erg. Both models assume a grey optical opacity of κ = 0.07 cm2 g-1. In the latter model, we find a γ-ray opacity of κγ = 0.034 cm2 g-1. Right: comparison of the optical bolometric LCs of a small sample of GRB-SNe: SN 1998bw (BVRI), SN 2003dh (UBVR), SN 2006aj (BVRI), SN 2010bh (griz) and SN 2012bz (griz).

Current usage metrics show cumulative count of Article Views (full-text article views including HTML views, PDF and ePub downloads, according to the available data) and Abstracts Views on Vision4Press platform.

Data correspond to usage on the plateform after 2015. The current usage metrics is available 48-96 hours after online publication and is updated daily on week days.

Initial download of the metrics may take a while.