Free Access

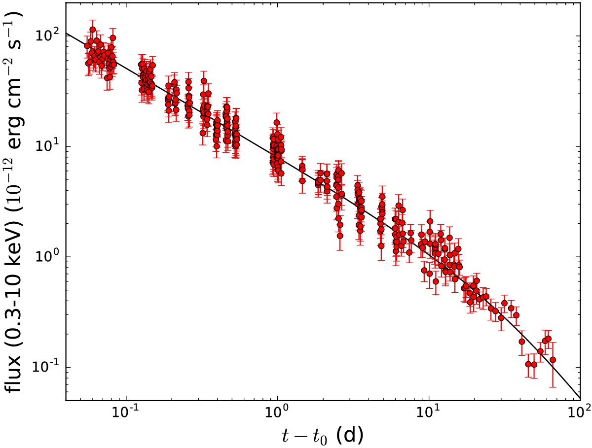
Fig. 3

image

Swift-XRT LC of GRB 161219B/SN 2016jca (orbit 1 was omitted see the main text for more details). A broken power-law was fit to the data, with the best-fitting parameters being: α1 = 0.79 ± 0.02, α2 = 1.93 ± 0.28, and the time the LC breaks between α1 and α2 being 38.0 ± 7.3 days (χ2/d.o.f. = 389.2 / 348).

Current usage metrics show cumulative count of Article Views (full-text article views including HTML views, PDF and ePub downloads, according to the available data) and Abstracts Views on Vision4Press platform.

Data correspond to usage on the plateform after 2015. The current usage metrics is available 48-96 hours after online publication and is updated daily on week days.

Initial download of the metrics may take a while.