Free Access

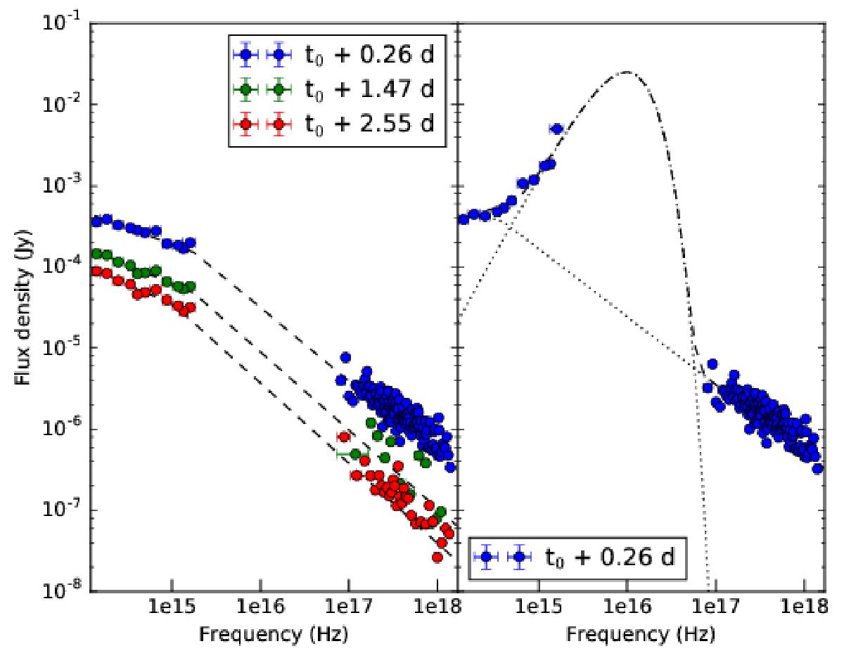
Fig. 4

image

NIR to X-ray SED of GRB 161219B at tt0 = 0.26,1.47 and 2.55 days. Left: best-fitting model consisting of a broken power-law and MW extinction curve. For all three epochs, we find: βopt ≈ 0.45, βX ≈ 0.95 and a break frequency of νB ≈ 1.7 − 1.8 × 1015 Hz. The local reddening is low (E(BV) ≈ 0.02 mag). Right: to the SED at + 0.26 days, we fit an extinguished broken power-law with an additional blackbody component. At this early epoch (+5.4 h, rest-frame), the BB component is very hot (TBB ≈ 0.16 × 106 K) and it contributes 68% of the total recorded flux. (Note that the BB fit implies a larger local reddening than the BPL fits see the main text for further discussion).

Current usage metrics show cumulative count of Article Views (full-text article views including HTML views, PDF and ePub downloads, according to the available data) and Abstracts Views on Vision4Press platform.

Data correspond to usage on the plateform after 2015. The current usage metrics is available 48-96 hours after online publication and is updated daily on week days.

Initial download of the metrics may take a while.