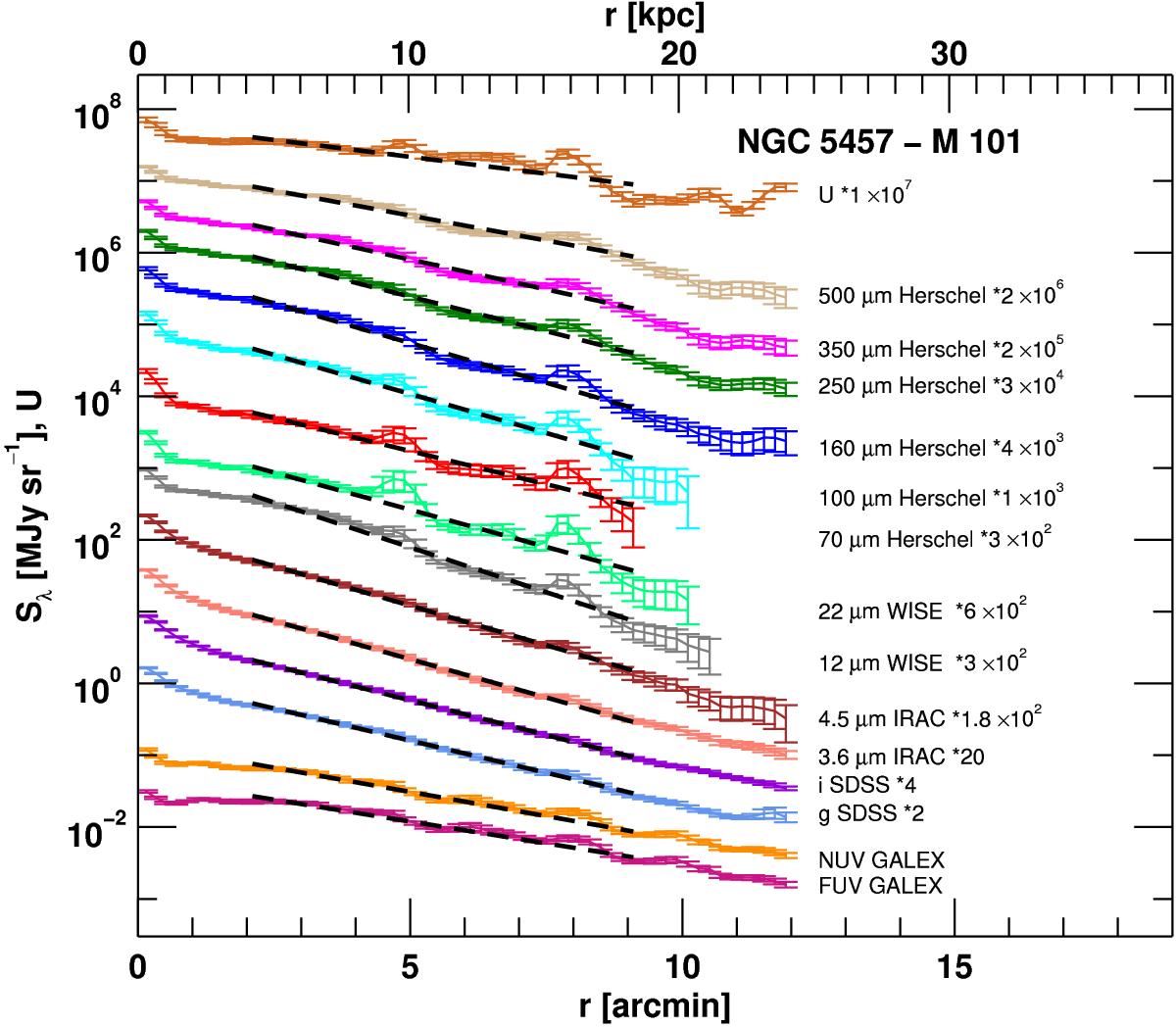
Fig. 2

Multi-wavelength surface-brightness profiles for the galaxy NGC 5457 (M 101), shown up to r25. The profiles have been shifted for displaying purposes and the corresponding offsets are quoted next to each profile. The profiles are arranged in order of decreasing wavelength, from top to bottom. At the top, the interstellar radiation field intensity U, is shown, in dimensional units. The black dashed lines are exponential fits performed avoiding the central part of galaxies up to the maximum extension of the 70 μm profile (shown in red).
Current usage metrics show cumulative count of Article Views (full-text article views including HTML views, PDF and ePub downloads, according to the available data) and Abstracts Views on Vision4Press platform.
Data correspond to usage on the plateform after 2015. The current usage metrics is available 48-96 hours after online publication and is updated daily on week days.
Initial download of the metrics may take a while.