Free Access
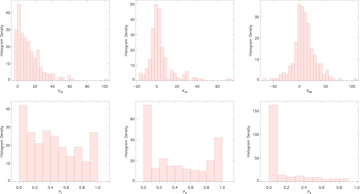
Fig. 2

Top row: histograms of the Bayes factor (Kij) comparisons of Models L, G and S. Bottom row: histograms of the model probabilities (Pi) calculated from the evidence values for each model.
This figure is made of several images, please see below:
Current usage metrics show cumulative count of Article Views (full-text article views including HTML views, PDF and ePub downloads, according to the available data) and Abstracts Views on Vision4Press platform.
Data correspond to usage on the plateform after 2015. The current usage metrics is available 48-96 hours after online publication and is updated daily on week days.
Initial download of the metrics may take a while.