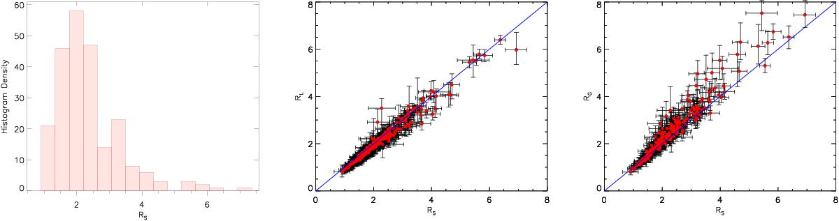
Fig. 4

Comparison of the loop minor radius determined by our three models. Left: distribution of the median radii from model S, RS. Middle: loop radii from model L, RL, plotted against RS. Right: loop radii from model G, RG, plotted against RS. The blue lines correspond to RL = RS and RG = RS respectively. The error bars correspond to the 95th percentile.
Current usage metrics show cumulative count of Article Views (full-text article views including HTML views, PDF and ePub downloads, according to the available data) and Abstracts Views on Vision4Press platform.
Data correspond to usage on the plateform after 2015. The current usage metrics is available 48-96 hours after online publication and is updated daily on week days.
Initial download of the metrics may take a while.