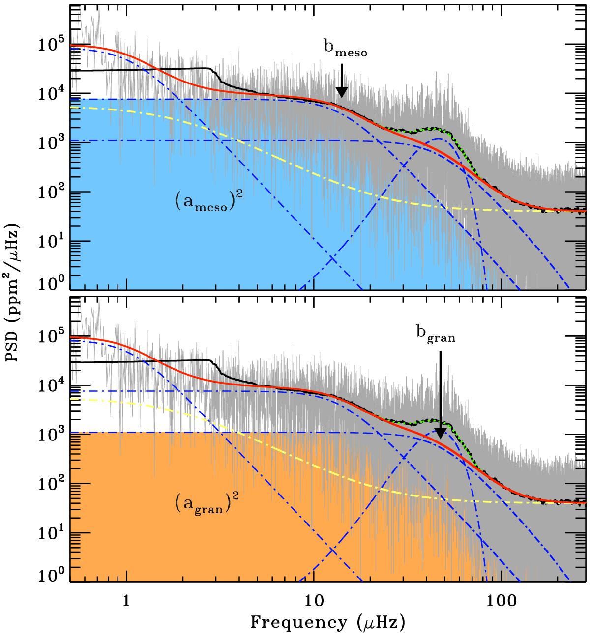
Fig. 4

Resulting background fit done with Diamonds (red curve) for the star KIC 4937056 in the cluster NGC 6819 overlaid on the original PSD of the star (in gray) and its smoothed version (black curve) using a boxcar with a width set to Δν/ 5, where Δν is computed using the Δν − νmax relation for RGs calibrated by Huber et al. (2011). The different components that constitute B(ν) (Eq. (4)) and G(ν) (Eq. (5)) are indicated with dot-dashed blue lines, while the noise term N(ν) (Eq. (3)) is shown with a dot-dashed yellow curve. The dotted green curve shows the overall fit of the background when the Gaussian envelope is included. Median values of the free parameters for each background component are used, as listed in Table B.2. Top panel: the meso-granulation component (ameso,bmeso) appears as a kink at ~ 10 μHz (arrow) and its amplitude squared () is represented by the area of the shaded blue region. Bottom panel: same as the top panel but showing the parameters of the granulation component (agran, bgran).
Current usage metrics show cumulative count of Article Views (full-text article views including HTML views, PDF and ePub downloads, according to the available data) and Abstracts Views on Vision4Press platform.
Data correspond to usage on the plateform after 2015. The current usage metrics is available 48-96 hours after online publication and is updated daily on week days.
Initial download of the metrics may take a while.