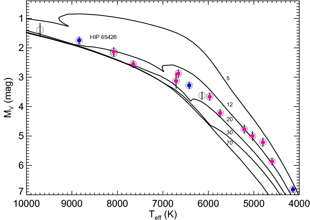
Fig. A.1

Absolute magnitude in V-band versus effective temperature diagram for HIP 65426 and stars within 5° with similar distance and kinematics. Blue circles: HIP 65426 and two stars with space velocity difference smaller than 3 km s-1. Red circles: stars with space velocity difference with respect to HIP 65426 between 3 and 10 km s-1. Empty circles: stars with space velocity difference larger than 10 km s-1. The 5, 12, 20, 30, 70 Myr solar-metallicity isochrones by Bressan et al. (2012) are overplotted and labeled individually.
Current usage metrics show cumulative count of Article Views (full-text article views including HTML views, PDF and ePub downloads, according to the available data) and Abstracts Views on Vision4Press platform.
Data correspond to usage on the plateform after 2015. The current usage metrics is available 48-96 hours after online publication and is updated daily on week days.
Initial download of the metrics may take a while.