Open Access

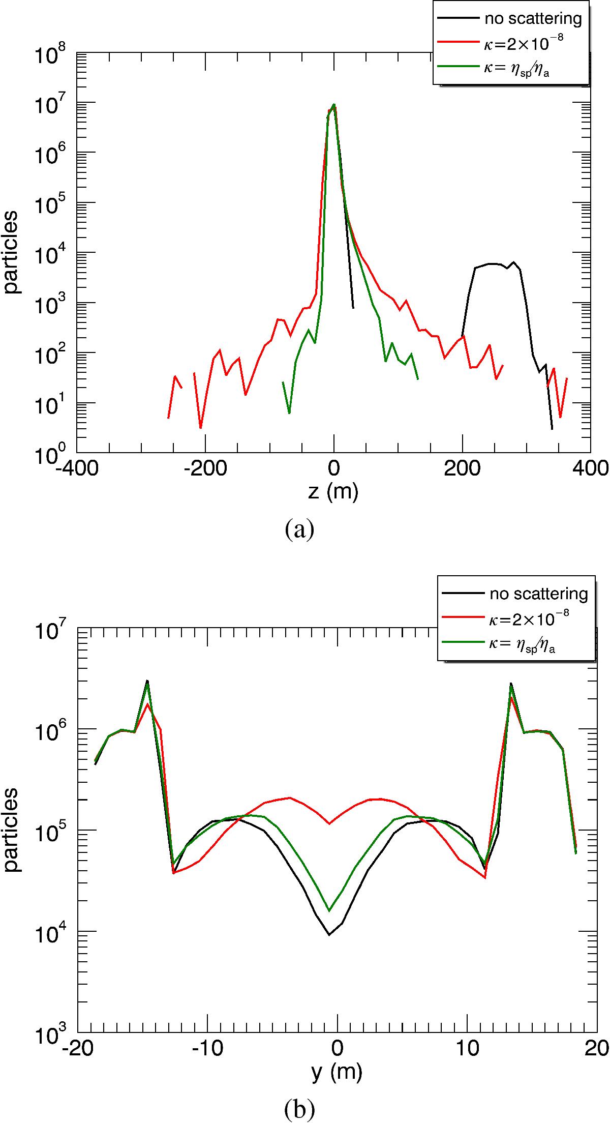
Fig. 7

image

Histograms of the y-, and z-positions of particle orbit escape from computational box in the absence of scattering and for the κ = 2 × 10-8 and κ = ηsp/ηa scattering regimes. In both scattering cases, α is set to zero.

Current usage metrics show cumulative count of Article Views (full-text article views including HTML views, PDF and ePub downloads, according to the available data) and Abstracts Views on Vision4Press platform.

Data correspond to usage on the plateform after 2015. The current usage metrics is available 48-96 hours after online publication and is updated daily on week days.

Initial download of the metrics may take a while.