Free Access

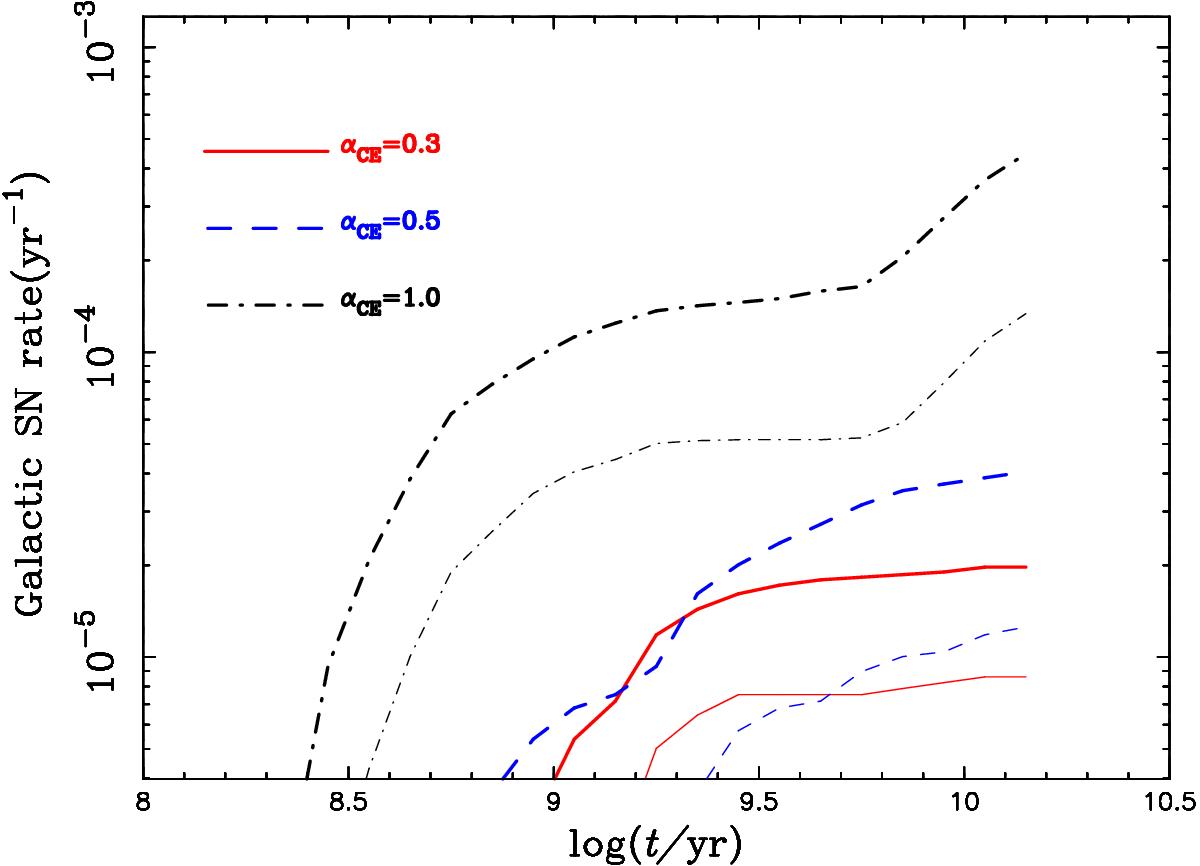
Fig. 3

image

Evolution of Galactic SN Ia birthrates with time for a constant Population I SFR (SFR = 5 M yr-1) based on the merger scenario of a CO WD and a He-rich WD. The thick curves show the cases with an upper mass limit of He-rich WDs equal to 0.6 M, while the thin curves represent the cases with a mass limit equal to 0.55 M. The solid, dashed, and dash-dotted curves represent the cases with a CE ejection efficiency αCE = 0.3, 0.5, and 1.0, respectively.

Current usage metrics show cumulative count of Article Views (full-text article views including HTML views, PDF and ePub downloads, according to the available data) and Abstracts Views on Vision4Press platform.

Data correspond to usage on the plateform after 2015. The current usage metrics is available 48-96 hours after online publication and is updated daily on week days.

Initial download of the metrics may take a while.