Free Access

Fig. 6

image

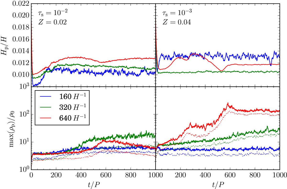
Scale height of the particle layer Hp (top panels) and maximum of the local particle density ρp (bottom panels) as a function of time for all our 3D models. Each column represents one set of dimensionless stopping time τs and solid abundance Z. All the models have a computational domain of 0.2H on each side. Different line colors represent different resolutions. The dotted lines are obtained by first averaging over the azimuthal direction before taking the maximum of ρp.

Current usage metrics show cumulative count of Article Views (full-text article views including HTML views, PDF and ePub downloads, according to the available data) and Abstracts Views on Vision4Press platform.

Data correspond to usage on the plateform after 2015. The current usage metrics is available 48-96 hours after online publication and is updated daily on week days.

Initial download of the metrics may take a while.