Free Access

Fig. 9

image

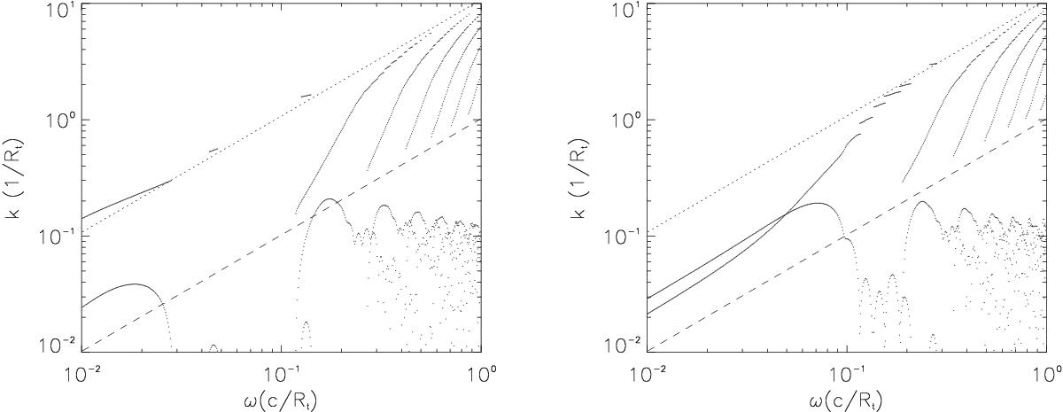
Solutions of the linear perturbation equation for typical profiles of rest-mass density and axial velocity obtained from the simulations (left panel: pinching, symmetric mode; right panel: helical mode). The tail density is taken as ρt/ρj = 103; the tail and jet velocities are vt = 0.05 c and vj = 0.95 c, respectively; and the sound speeds are cs,t = 0.04 c and cs,j = 0.54 c. The dashed and dotted lines show the line corresponding to phase velocities, w/k, equal to the relativistic composition of the velocity and sound speed for each of the flows, i.e. 0.98 c for the jet and 0.09 c for the tail. These velocities separate the solution plane in different allowed and forbidden regions (see e.g. Payne & Cohn 1985, for the non-relativistic case).

This figure is made of several images, please see below:

Current usage metrics show cumulative count of Article Views (full-text article views including HTML views, PDF and ePub downloads, according to the available data) and Abstracts Views on Vision4Press platform.

Data correspond to usage on the plateform after 2015. The current usage metrics is available 48-96 hours after online publication and is updated daily on week days.

Initial download of the metrics may take a while.