Free Access

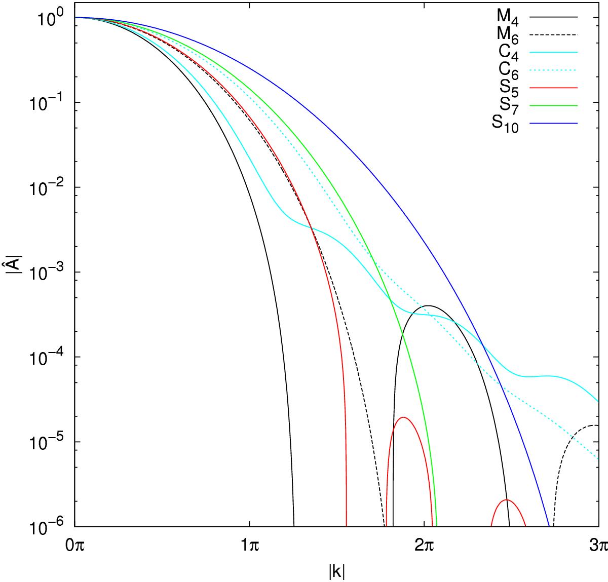
Fig. 1

image

Fourier transform for the spline kernel B4 and B6 (black lines), the Wendland kernels C4 and C6 (light blue lines), and the sinc kernels S5, S7, and S10. Only the positive part of the transform is shown.

Current usage metrics show cumulative count of Article Views (full-text article views including HTML views, PDF and ePub downloads, according to the available data) and Abstracts Views on Vision4Press platform.

Data correspond to usage on the plateform after 2015. The current usage metrics is available 48-96 hours after online publication and is updated daily on week days.

Initial download of the metrics may take a while.