Free Access

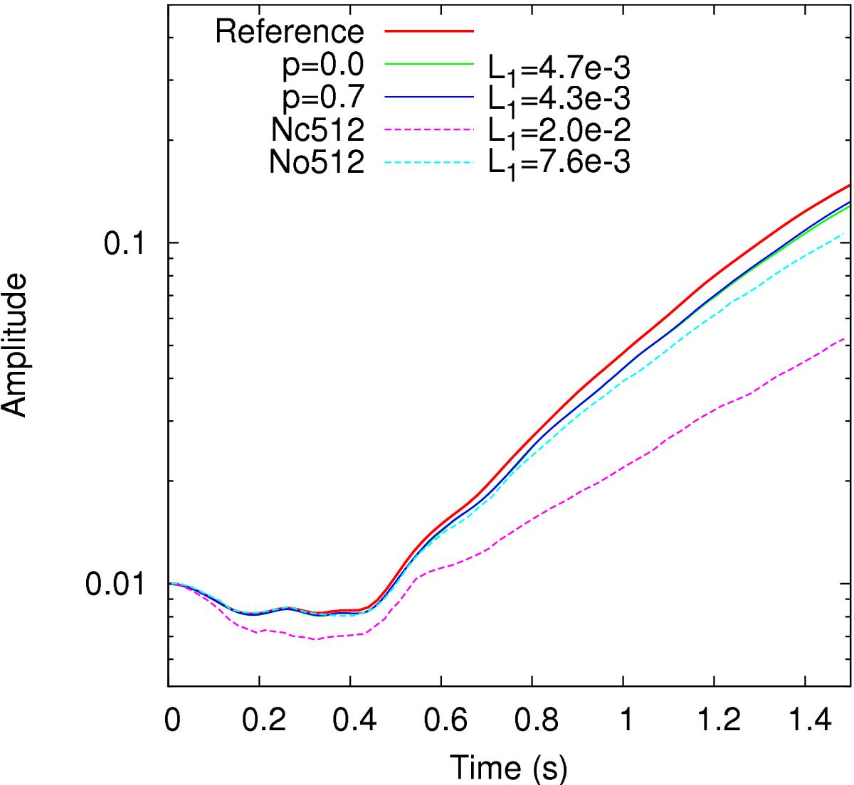
Fig. 11

image

Amplitude mode growth of models KH1 (p = 0) and KH2 (p = 0.7) of Table 5. The solid red line is the reference solution (McNally et al. 2012) obtained with the PENCIL code (Brandenburg & Dobler 2002), while the solid green and blue lines were obtained with SPHYNX for two different values of the p parameter. The dashed lines correspond to calculations performed with the NDSPMHD code (Price 2012) with a resolution of 5122 and kernel B4 (pink) and B6 (light blue). See McNally et al. (2012) for further details. We also show the L1 errors with respect to the reference values for each calculation.

Current usage metrics show cumulative count of Article Views (full-text article views including HTML views, PDF and ePub downloads, according to the available data) and Abstracts Views on Vision4Press platform.

Data correspond to usage on the plateform after 2015. The current usage metrics is available 48-96 hours after online publication and is updated daily on week days.

Initial download of the metrics may take a while.