Free Access

Fig. 18

image

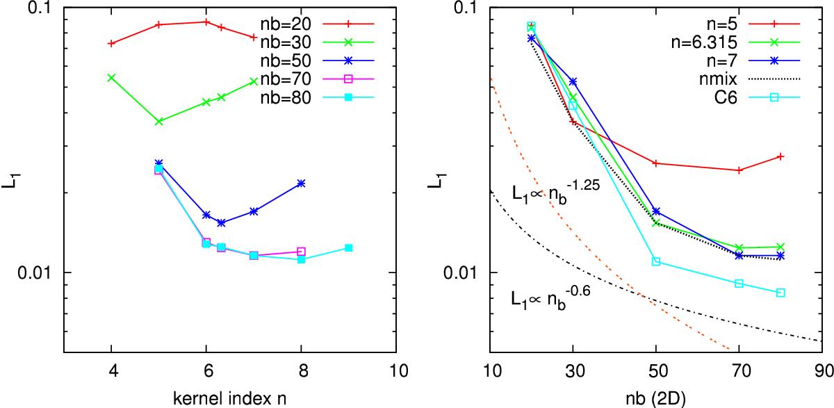
Gresho-Chan vortex test in 2D. Left: value of the magnitude L1, at time t = 1, calculated with the sinc kernels as a function of the kernel index n and number of neighbors nb (with constant total number of particles N = 2562). Right: convergence rate of sincs and Wendland C6 kernels as a function of the number of neighbors.

Current usage metrics show cumulative count of Article Views (full-text article views including HTML views, PDF and ePub downloads, according to the available data) and Abstracts Views on Vision4Press platform.

Data correspond to usage on the plateform after 2015. The current usage metrics is available 48-96 hours after online publication and is updated daily on week days.

Initial download of the metrics may take a while.