Free Access

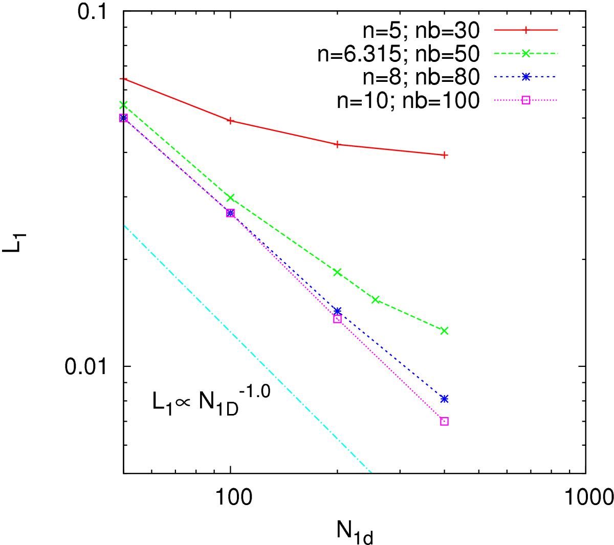
Fig. 19

image

Gresho-Chan vortex test in 2D. Convergence rate of L1 as a function of the equivalent 1D number of particles, N1d, at time t = 1, for different sinc kernels.

Current usage metrics show cumulative count of Article Views (full-text article views including HTML views, PDF and ePub downloads, according to the available data) and Abstracts Views on Vision4Press platform.

Data correspond to usage on the plateform after 2015. The current usage metrics is available 48-96 hours after online publication and is updated daily on week days.

Initial download of the metrics may take a while.