Free Access

Fig. 27

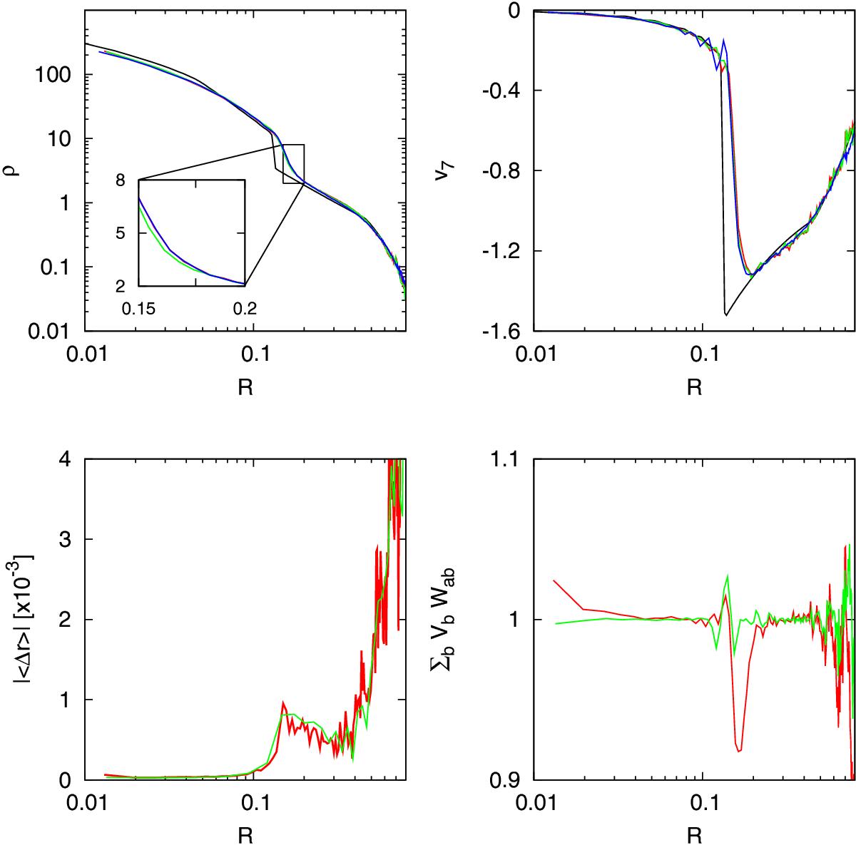
image

Upper panels: density (left) and radial velocity profiles (right) for the collapse of an initially isothermal sphere of gas at t = 0.8. The solid black line is the 1D-PPM solution. We show the SPHYNX calculations with p = 0 (red) and p = 1 (green) in Eq. (34). Calculations using GADGET-2 are in blue. Lower panels: profiles of | ⟨ Δr ⟩ | (left) and bVbWab (right) for p = 0 (red) and p = 1 (green).

Current usage metrics show cumulative count of Article Views (full-text article views including HTML views, PDF and ePub downloads, according to the available data) and Abstracts Views on Vision4Press platform.

Data correspond to usage on the plateform after 2015. The current usage metrics is available 48-96 hours after online publication and is updated daily on week days.

Initial download of the metrics may take a while.