Free Access

Fig. A.1

image

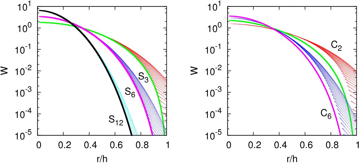
Value of Sn, for indices n = 3, n = 6, and n = 12 (left), and Wendland kernels C2 and C6 (right) in 2D (continuum thick lines). We show in dots the direct product (left) and (right) for the same set of indices. Increasing n, the sinc kernels approach separability in each spatial direction, while Wendland kernels do not.

Current usage metrics show cumulative count of Article Views (full-text article views including HTML views, PDF and ePub downloads, according to the available data) and Abstracts Views on Vision4Press platform.

Data correspond to usage on the plateform after 2015. The current usage metrics is available 48-96 hours after online publication and is updated daily on week days.

Initial download of the metrics may take a while.