Free Access

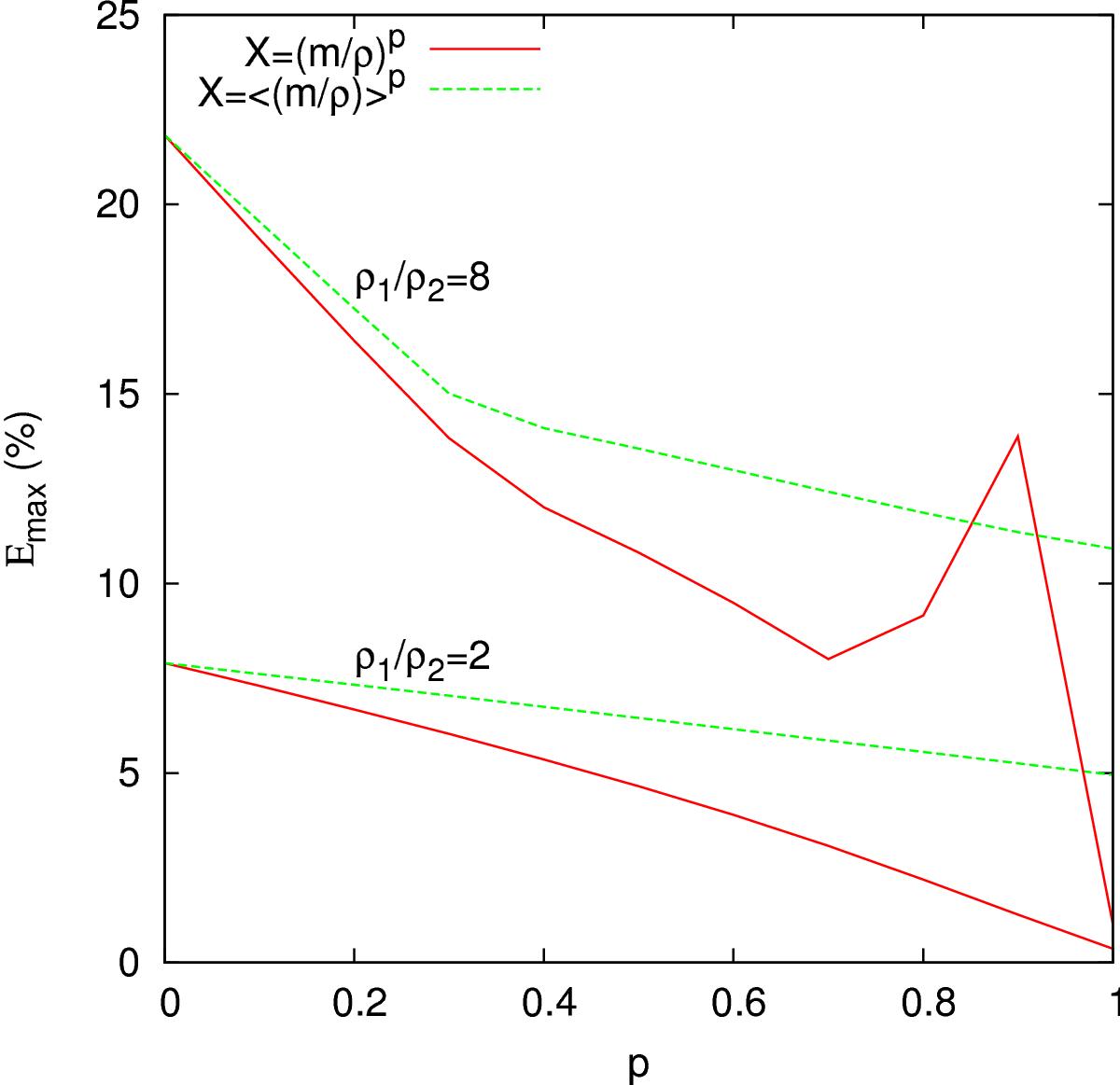
Fig. C.1

image

Static shock-tube problem described in the Appendix C: maximum relative error in the partition of unit as a function of the exponent p used to infer the particle volume. The red solid line is for X = (m/ρ)p and the green dashed line is for X = ( ⟨ m/ρ ⟩ )p.

Current usage metrics show cumulative count of Article Views (full-text article views including HTML views, PDF and ePub downloads, according to the available data) and Abstracts Views on Vision4Press platform.

Data correspond to usage on the plateform after 2015. The current usage metrics is available 48-96 hours after online publication and is updated daily on week days.

Initial download of the metrics may take a while.